Basic HTML Version
Table of Contents
View Full Version
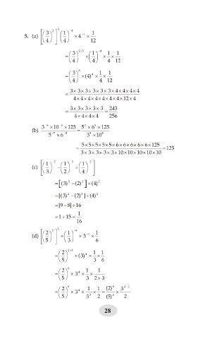
Page 523 - Phulwari Sky Rider Mathematics 1 to 8 answer key
P. 523
518
519
520
521
522
523
524
525
526
527
528