Page 49 - Calculas I
P. 49
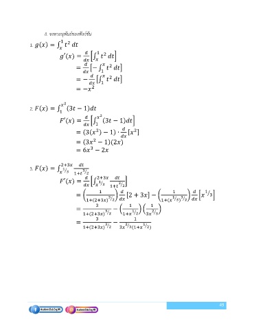
II. จงหาอนุพันธ์ของฟังก์ชัน
1
2
1. ( ) = ∫
1
2
′( ) = [∫ ]
2
= [− ∫ ]
1
2
= − [∫ ]
1
2
= −
2
2. ( ) = ∫ (3 − 1)
1 2
′( ) = [∫ (3 − 1) ]
1
2
2
= (3( ) − 1) ∙ [ ]
2
= (3 − 1)(2 )
3
= 6 − 2
2+3
3. ( ) = ∫ 1 ⁄ 3
3 1+ ⁄ 2
2+3
′( ) = [∫ 1 ⁄ 3 ]
3 1+ ⁄ 2
= ( 1 3 ) [2 + 3 ] − ( 1 3 ) [ 1 ⁄ 3]
1
1+(2+3 ) ⁄ 2 1+( ⁄ 3) ⁄ 2
= 3 3 − ( 1 1 ) ( 1 2 )
1+(2+3 ) ⁄ 2 1+ ⁄ 2 3 ⁄ 3
= 3 3 − 2 1 1
1+(2+3 ) ⁄ 2 3 ⁄ 3(1+ ⁄ 2)
49

