Page 63 - Inovasi Modul Matematika Interaktif Bangun Datar Segi Empat_Lusi Malini_Neat
P. 63
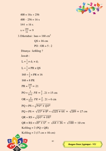
400 = 16x + 256
400 – 256 = 16 x
144 = 16 x
x = = 9
2
3. Diketahui : luas = 168 cm
QS = 16 cm
PO : OR = 5 : 2
Ditanya : keliling ?
Jawab :
L = × d × d 2
1
L = × PR x QS
168 = × PR × 16
168 = 8 PR
PR = =
PO = = . 21 = 15 cm
OR = = . 21 = 6 cm
PQ = PS = √
PQ = PS = √ 5 8 = √ 5 64 = √ 89 = 7
QR = RS = √
QR = RS = √8 6 = √64 6 = √ =
Keliling = 2 (PQ + QR)
Keliling = 2 (17 cm + 10 cm)
61
Bangun Datar Segiempat - VII

