Page 17 - D:\KULIAH\SEMESTER 6\SEMPRO\skripsi\E-MODUL BENTUK ALJABAR TERBARU\
P. 17
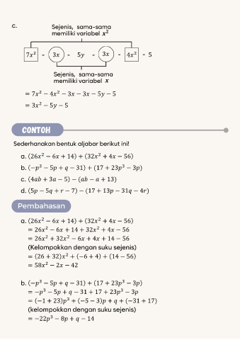
7 2 3 5 3 4 2 5
2
2
= 7 − 4 − 3 − 3 − 5 − 5
2
= 3 − 5 − 5
2
2
(26 − 6 + 14) + (32 + 4 − 56)
3
3
(− − 5 + − 31) + (17 + 23 − 3 )
(4 + 3 − 5) − ( − + 13)
(5 − 5 + − 7) − (17 + 13 − 31 − 4 )
2
2
(26 − 6 + 14) + (32 + 4 − 56)
2
2
= 26 − 6 + 14 + 32 + 4 − 56
2
2
= 26 + 32 − 6 + 4 + 14 − 56
2
= (26 + 32) + (−6 + 4) + (14 − 56)
2
= 58 − 2 − 42
3
3
(− − 5 + − 31) + (17 + 23 − 3 )
3
3
= − − 5 + − 31 + 17 + 23 − 3
3
= (−1 + 23) + (−5 − 3) + + (−31 + 17)
3
= −22 − 8 + − 14

