Page 29 - BUKU KALIN (bismillah Fix)_Bab 4
P. 29

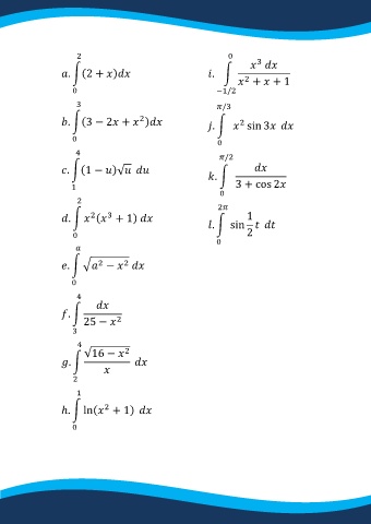
2                                         0
                                                                         3
                                                                               
                    . ∫(2 +   )                              . ∫
                                                                     2
                                                                      +    + 1
                     0                                       −1/2

                      3                                        /3
                                        2
                    . ∫(3 − 2   +    )                       . ∫    sin 3        
                                                                    2
                     0
                                                             0
                      4
                                                                /2
                    . ∫(1 −   )√                                            
                                                             . ∫
                     1                                             3 + cos 2  
                                                              0
                      2
                                                              2  
                          2
                               3
                    . ∫    (   + 1)                                   1
                                                             . ∫ sin         
                     0                                                2
                                                             0
                        
                            2
                    . ∫ √   −         
                                   2
                     0

                      4
                                
                    . ∫
                        25 −      2
                     3
                       4
                        √16 −       2
                    . ∫                    
                                
                     2

                      1
                              2
                  ℎ. ∫ ln(   + 1)      

                     0
   24   25   26   27   28   29   30   31