Page 110 - E Modul Data Analytics
P. 110
Data Analytics
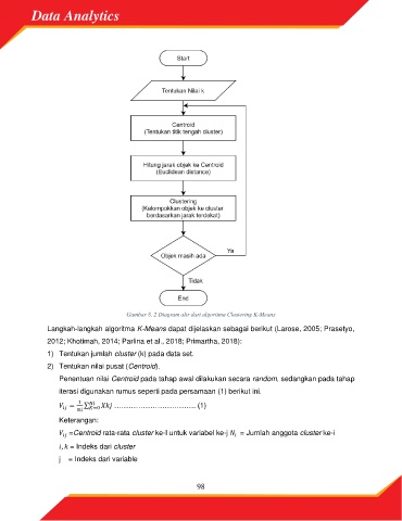
Gambar 8. 2 Diagram alir dari algoritma Clustering K-Means
Langkah-langkah algoritma K-Means dapat dijelaskan sebagai berikut (Larose, 2005; Prasetyo,
2012; Khotimah, 2014; Parlina et al., 2018; Primartha, 2018):
1) Tentukan jumlah cluster (k) pada data set.
2) Tentukan nilai pusat (Centroid).
Penentuan nilai Centroid pada tahap awal dilakukan secara random, sedangkan pada tahap
iterasi digunakan rumus seperti pada persamaan (1) berikut ini.
1
= ∑ ……………………………. (1)
=0
Keterangan:
=Centroid rata-rata cluster ke-I untuk variabel ke-j = Jumlah anggota cluster ke-i
, = Indeks dari cluster
j = Indeks dari variable
98

