Page 1942 - Documents for the COPC of BS Nursing Program
P. 1942
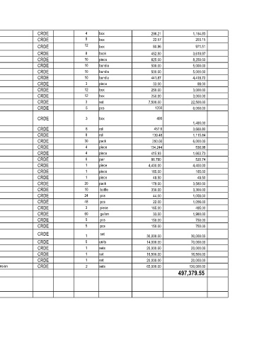
27 PAPER FASTENER, for paper, metal, 50 sets/box General CRDE 4 box 296.21 1,184.83
28 PAPER CLIP, gem type, 32mm, 100s/box General CRDE 9 box 22.57 203.15
29 PENCIL, lead, w/eraser, 0ne(1) dozen per box General CRDE 12 box 80.96 971.51
30 RECORD BOOK, 300 pages, smythe sewn General CRDE 8 book 452.50 3,619.97
31 RING BINDER, 12.7mm x 1.12m (1/2"x44"), plastic General CRDE 10 piece 825.00 8,250.00
32 RING BINDER, 16mm x 1.12m, plastic, 10 pcs/bundle General CRDE 10 bundle 500.00 5,000.00
33 RING BINDER, 22mm x 1.12m, plastic, 10 pcs/bundle General CRDE 10 bundle 500.00 5,000.00
34 RING BINDER, 50mm x 1.12m(2" x 44"), plastic General CRDE 10 bundle 441.87 4,418.70
35 RULER, plastic, 450mm General CRDE 3 piece 33.00 99.00
36 SIGN PEN, black General CRDE 12 box 250.00 3,000.00
37 SIGN PEN, blue General CRDE 12 box 250.00 3,000.00
38 steel cabinet (4 layers) General CRDE 3 set 7,500.00 22,500.00
39 Heavy duty Stapler General CRDE 5 pcs 1200 6,000.00
STAPLE WIRE, HEAVY DUTY, 23/13, for use with heavy duty staplers, metal, non-rust, chisel point.
0.60mm thickness, 13mm width, 13mm leg length, 100 staples per strip, 1,000 staples per box, 40-90 General CRDE 3 box 495
40 sheets of 70gsm bond paper 1,485.00
41 TAPE, masking, 24mm, 50 meters length General CRDE 8 roll 457.6 3,660.80
42 TAPE, transparent, 24mm, 50 meters General CRDE 8 roll 139.48 1,115.84
43 TOILET TISSUE, 12 rolls/pack General CRDE 30 pack 200.00 6,000.00
44 CUTTER, heavy duty General CRDE 4 piece 134.244 536.98
45 PUNCHER, heavy duty General CRDE 4 piece 415.93 1,663.73
46 SCISSORS, (6") General CRDE 6 pair 86.790 520.74
47 STAPLER, heavy duty, for binding General CRDE 1 piece 4,400.00 4,400.00
48 STAPLER, heavy duty, standard (#35) General CRDE 1 piece 165.00 165.00
49 STAPLE WIRE REMOVER, twin jaws General CRDE 1 piece 49.50 49.50
50 sign here sticky note 25*43mm General CRDE 20 pack 179.00 3,580.00
51 Diswashing Liquid 100ml General CRDE 10 bottle 330.00 3,300.00
52 Batt dry cell AA General CRDE 24 pcs 44.00 1,056.00
53 Batt dry cell AAA General CRDE 48 pcs 22.00 1,056.00
54 DOORMAT General CRDE 3 piece 165.00 495.00
55 WATER REFILL General CRDE 60 gallon 33.00 1,980.00
56 Air Refreshener General CRDE 5 pcs 150.00 750.00
57 Insect Spray General CRDE 5 pcs 150.00 750.00
Conference Table (approximately 244 L x 150 W x 76 H cm (6-8 seater) rectangular wood or wood-metal
58 combination General CRDE 1 set 30,000.00 30,000.00
59 Office Printer with continues ink General CRDE 5 units 14,000.00 70,000.00
60 Office Utensils General CRDE 1 sets 20,000.00 20,000.00
61 Curtains General CRDE 1 set 16,500.00 16,500.00
62 Office Table and Chairs General CRDE 1 set 20,000.00 20,000.00
63 Lap top computers and accessories Research and extension CRDE 2 sets 65,000.00 130,000.00
497,379.55
II. OTHER SUPPLIES AND MATERIALS TO BE PROCURED FROM OTHER SOURCE
ICT SUPPLIES (Consumables)

