Page 8 - EBOOK KOMPOSISI FUNGSI
P. 8

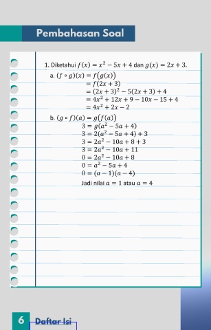
hasan Soal
              Pemba































































           6  Daftar Isi
   3   4   5   6   7   8   9   10   11