Page 113 - E-Modul Kalkulus Integral
P. 113
e-Modul Kalkulus Integral
Program Studi Pendidikan Matematika
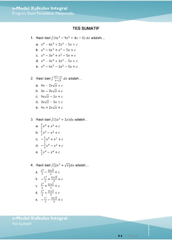
TES SUMATIF
1. Hasil dari ∫(4 − 9 + 4 − 5) adalah…
3
2
a. − 6 + 2 − 5 +
2
4
3
b. − 6 + − 5 +
3
4
2
c. − 3 + − 5 +
2
4
3
d. − 3 + 2 − 5 +
3
2
4
e. − 6 − 2 − 5 +
3
2
4
3(3− )
2. Hasil dari ∫ adalah…
3+√
a. 9 − 2 √ +
b. 3 − 3 √ +
c. 9 √ − 2 +
d. 3 √ − 3 +
e. 9 + 2 √ +
3. Hasil dari ∫(5 + 2 ) adalah…
2
5
a. + +
2
3
3
5
b. − +
3
2
3
5
c. − + +
3
2
3
5
d. − − +
2
3
3
5
e. − +
2
4
3
4. Hasil dari ∫(2 + √ ) adalah…
3
a. 4 − 2 √ +
2 3
4 2 √
b. − + +
2 3
c. 3 + 2 √ +
2 3
d. 4 + 2 √ +
2 3
4 2 √
e. − − +
2 3
e-Modul Kalkulus Integral
Tes Sumatif
9 4 | P a g e

