Page 1464 - Draft
P. 1464
M
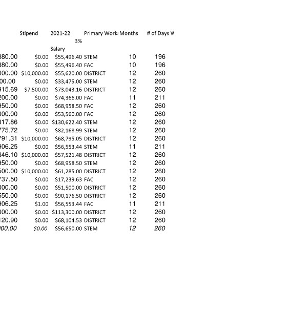
Last Name First Name Primary Job Title 2020-21 Stipend 2021-22 Primary Worksiteonths # of Days Worked
3%
Salary Salary
BARANSKI MICHELE FOOD SERVICE MANAGER $53,880.00 $0.00 $55,496.40 STEM 10 196
CELESTINE MARCELLA FOOD SERVICE MANAGER $53,880.00 $0.00 $55,496.40 FAC 10 196
DUDA LYNN SECRETARY - EXEMPT $54,000.00 $10,000.00 $55,620.00 DISTRICT 12 260
FORD BRUCANDO TRUANCY OFFICER $32,500.00 $0.00 $33,475.00 STEM 12 260
GLENN VANESSA SECRETARY - EXEMPT $70,915.69 $7,500.00 $73,043.16 DISTRICT 12 260
GREGORY NATHAN ROTC $72,200.00 $0.00 $74,366.00 FAC 11 211
GRILLO MARIE CUSTODIAN FOREMAN $66,950.00 $0.00 $68,958.50 FAC 12 260
JEFFERSON LANCE TRUANCY OFFICER $52,000.00 $0.00 $53,560.00 FAC 12 260
KOUTAVAS TED DIRECTOR TECHNOLOGY $126,817.86 $0.00 $130,622.40 STEM 12 260
LOUISSAINT JR ROOSEVELT TECH SUPPORT TRAINER $79,775.72 $0.00 $82,168.99 STEM 12 260
MASON DEBORAH PAYROLL $66,791.31 $10,000.00 $68,795.05 DISTRICT 12 260
MATHEWS BRIANA CAREER RESOURCE $54,906.25 $0.00 $56,553.44 STEM 11 211
MIDDLETON TRACY SECRETARY - EXEMPT $55,846.10 $10,000.00 $57,521.48 DISTRICT 12 260
POSLEY QUINTON CUSTODIAN ASSIST FOREMAN $66,950.00 $0.00 $68,958.50 STEM 12 260
ROBINSON CRYSTAL SECRETARY - EXEMPT $59,500.00 $10,000.00 $61,285.00 DISTRICT 12 260
ROHDE CRAIG MAIL COURIER $16,737.50 $0.00 $17,239.63 FAC 12 260
SHERLEY MISHAEL CLERICAL - CASHIER $50,000.00 $0.00 $51,500.00 DISTRICT 12 260
WILLIAMS ELIZABETH DIRECTOR FOOD SERVICE $87,550.00 $0.00 $90,176.50 DISTRICT 12 260
WILLINGHAM DUANE CAREER RESOURCE $54,906.25 $1.00 $56,553.44 FAC 11 211
WYSONG GLEN DIRECTOR OF BLDG & GROUND $110,000.00 $0.00 $113,300.00 DISTRICT 12 260
ZAMBRANO ANA SECRETARY - EXEMPT $66,120.90 $0.00 $68,104.53 DISTRICT 12 260
ZAMBRANO VERONICA SECRETARY - EXEMPT $55,000.00 $0.00 $56,650.00 STEM 12 260

