Page 184 - Manual of Operations
P. 184
CvSU MANUAL OF OPERATIONS
________________________________________________________________________ 169
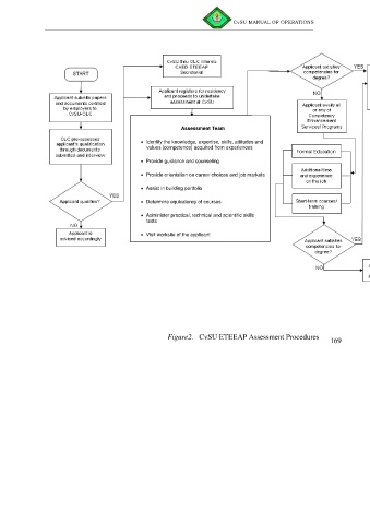
Assessment Team
Identify the knowledge, expertise, skills, attitudes and
values (competence) acquired from experiences
Provide guidance and counseling
Provide orientation on career choices and job markets
Assist in building portfolio
Determine equivalency of courses
Administer practical, technical and scientific skills
tests
Visit worksite of the applicant
Conduct oral/written examinations and any other
means of determining knowledge and skills of the
applicant
Figure2. CvSU ETEEAP Assessment Procedures 169

