Page 286 - Scholarly Works of Faculty
P. 286
CAVITE STATE UNIVERSITY
TRECE MARTIRES CITY CAMPUS
Department of Information Technology DCIT 111 - Advanced Programming
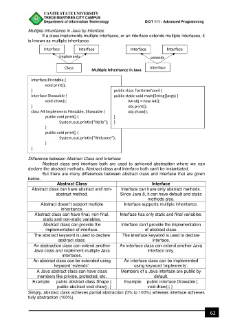
Multiple Inheritance in Java by Interface
If a class implements multiple interfaces, or an interface extends multiple interfaces, it
is known as multiple inheritance.
Interface Interface Interface Interface
implements extends
Class Interface
Multiple Inheritance in Java
interface Printable {
void print();
} public class TestInterface3 {
interface Showable { public static void main(String[]args) {
void show(); A4 obj = new A4();
} obj.print();
class A4 implements Printable, Showable { obj.show();
public void print() { }
System.out.println(“Hello”); }
}
public void print() {
System.out.println(“Welcome”);
}
}
Difference between Abstract Class and Interface
Abstract class and interface both are used to achieved abstraction where we can
declare the abstract methods. Abstract class and interface both can’t be instantiated.
But there are many differences between abstract class and interface that are given
below.
Abstract Class Interface
Abstract class can have abstract and non- Interface can have only abstract methods.
abstract method. Since Java 8, it can have default and static
methods also.
Abstract doesn’t support multiple Interface supports multiple inheritance.
inheritance.
Abstract class can have final, non-final, Interface has only static and final variables.
static and non-static variables.
Abstract class can provide the Interface can’t provide the implementation
implementation of interface. of abstract class.
The abstract keyword is used to declare The interface keyword is used to declare
abstract class. interface.
An abstraction class can extend another An interface class can extend another Java
Java class and implement multiple Java interface only.
interfaces.
An abstract class can be extended using An interface class can be implemented
keyword ‘extends’. using keyword ‘implements’.
A Java abstract class can have class Members of a Java interface are public by
members like private, protected, etc. default.
Example: public abstract class Shape { Example: public interface Drawable {
public abstract void draw(); } void draw(); }
Simply, abstract class achieves partial abstraction (0% to 100%) whereas interface achieves
fully abstraction (100%).
62

