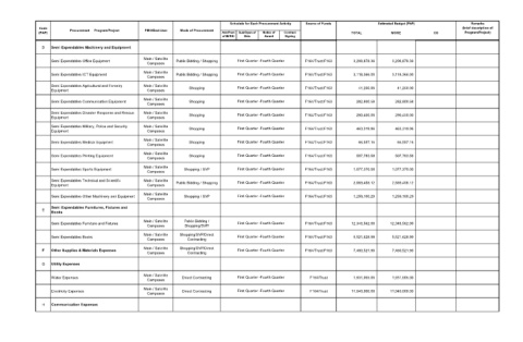
Page 67 - ANNUAL PROCUREMENT PLAN
P. 67
Schedule for Each Procurement Activity Source of Funds Estimated Budget (PhP) Remarks
Code (brief description of
Procurement Program/Project PMO/End-User Mode of Procurement
(PAP) Ads/Post Sub/Open of Notice of Contract TOTAL MOOE CO Program/Project)
of IB/REI Bids Award Signing
D Semi Expendables Machinery and Equipment
Main / Satellite
Semi Expendables Office Equipment Public Bidding / Shopping First Quarter -Fourth Quarter F164/Trust/F163 3,208,878.36 3,208,878.36
Campuses
Main / Satellite
Semi Expendables ICT Equipment Public Bidding / Shopping First Quarter -Fourth Quarter F164/Trust/F163 3,118,366.00 3,118,366.00
Campuses
Semi Expendables Agricultural and Forestry Main / Satellite Shopping First Quarter -Fourth Quarter F164/Trust/F163 41,250.00 41,250.00
Equipment Campuses
Main / Satellite
Semi Expendables Communication Equipment Shopping First Quarter -Fourth Quarter F164/Trust/F163 282,800.58 282,800.58
Campuses
Semi Expendables Disaster Response and Rescue Main / Satellite
Shopping First Quarter -Fourth Quarter F164/Trust/F163 290,450.00 290,450.00
Equipment Campuses
Semi Expendables Military, Police and Security Main / Satellite
Shopping First Quarter -Fourth Quarter F164/Trust/F163 463,319.96 463,319.96
Equipment Campuses
Main / Satellite
Semi Expendables Medical Equipment Shopping First Quarter -Fourth Quarter F164/Trust/F163 66,557.16 66,557.16
Campuses
Main / Satellite
Semi Expendables Printing Equipment Shopping First Quarter -Fourth Quarter F164/Trust/F163 507,783.58 507,783.58
Campuses
Main / Satellite
Semi Expendables Sports Equipment Shopping / SVP First Quarter -Fourth Quarter F164/Trust/F163 1,077,370.00 1,077,370.00
Campuses
Semi Expendables Technical and Scientific Main / Satellite
Public Bidding / Shopping First Quarter -Fourth Quarter F164/Trust/F163 2,569,458.12 2,569,458.12
Equipment Campuses
Main / Satellite
Semi Expendables Other Machinery and Equipment Shopping / SVP First Quarter -Fourth Quarter F164/Trust/F163 1,259,100.29 1,259,100.29
Campuses
Semi Expendables Furnitures, Fixtures and
E
Books
Main / Satellite Public Bidding /
Semi Expendables Furniture and Fixtures First Quarter -Fourth Quarter F164/Trust/F163 12,348,562.00 12,348,562.00
Campuses Shopping/SVP/
Main / Satellite Shopping/SVP/Direct
Semi Expendables Books First Quarter -Fourth Quarter F164/Trust/F163 5,521,628.99 5,521,628.99
Campuses Contracting
Main / Satellite Shopping/SVP/Direct
F Other Supplies & Materials Expenses First Quarter -Fourth Quarter F164/Trust/F163 7,460,521.90 7,460,521.90
Campuses Contracting
G Utility Expenses
Main / Satellite
Water Expenses Direct Contracting First Quarter -Fourth Quarter F164/Trust 1,931,005.00 1,931,005.00
Campuses
Main / Satellite
Electricity Expenses Direct Contracting First Quarter -Fourth Quarter F164/Trust 11,040,000.00 11,040,000.00
Campuses
H Communication Expenses

