Basic HTML Version
Table of Contents
View Full Version
Page 121 - SEKDA BI - BALI_DESEMBER_2020
P. 121
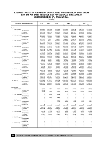
LOKASI PROYEK DI KPw PROVINSI BALI
116
117
118
119
120
121
122
123
124
125
126