Page 29 - SMA NEGERI 2 SUMBAWA BESAR
P. 29

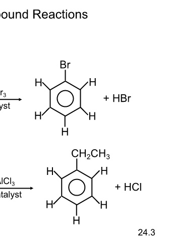
Aromatic Compound Reactions






















 Substitution reaction



















 H                                                                                  Br














 H  H                                            H                                                                           H







 FeBr


 + Br 2  catalyst                                                                                                                                + HBr
     3












 H  H                                            H                                                                          H












 H                                                                                    H

















 H                                                                                                  CH CH                                            3



                                                                                                                          2









 H  H                                                            H                                                                           H







 AlCl


 + CH CH Cl  catalyst                                                                                                                                            + HCl
                 3



 2
 3







 H  H                                                            H                                                                          H












 H                                                                                                    H









                                                                                                                                                                                                 24.3
   24   25   26   27   28   29   30   31   32