Page 8 - SMA NEGERI 2 SUMBAWA BESAR
P. 8

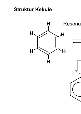
Struktur Kekule

























                                                                                                                                         H                                                 Resonansi                                                                                                                      H















                                                                                        H                                                                                           H                                                                                    H                                                                                           H































                                                                                        H                                                                                              H                                                                                 H                                                                                              H


















                                                                                                                                         H                                                                                                                                                                                H
   3   4   5   6   7   8   9   10   11   12   13