Page 336 - 1300 Math Formulas
P. 336
CHAPTER 12. PROBABILITY
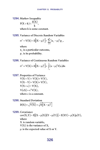
1294. j~êâçî=fåÉèì~äáíó=
u
)u >
m ( â ≤ b () I==
â
ïÜÉêÉ=â=áë=ëçãÉ=Åçåëí~åíK=
=
1295. s~êá~åÅÉ=çÑ=aáëÅêÉíÉ=o~åÇçã=s~êá~ÄäÉë=
å
σ O = s () [ u = ( −u µ ) ] b O ∑ ( = á − µ é I==
O
)ñ
á
á =N
ïÜÉêÉ==
ñ =áë=~=é~êíáÅìä~ê=çìíÅçãÉI=
á
é =áë=áíë=éêçÄ~ÄáäáíóK=
á
=
1296. s~êá~åÅÉ=çÑ=`çåíáåìçìë=o~åÇçã=s~êá~ÄäÉë=
∞
σ O = s () [ u = ( −u µ ) ] b O ∫ ( = ñ ) − O ( µ Ñ ñ ) Çñ ==
− ∞
=
1297. mêçéÉêíáÉë=çÑ=s~êá~åÅÉ=
s ( )u + ( v = u + s ( )I==
) s
v
v
) s
s ( )u − ( v = u + s ( )I=
) s
s ( )u + ( Å = u I=
( s )Åu = Å O ( s ) u I=
ïÜÉêÉ=Å=áë=~=Åçåëí~åíK=
=
1298. pí~åÇ~êÇ=aÉîá~íáçå=
u
a ()= s ( ) b (= − ) [ u µ O ]=
u
=
1299. `çî~êá~åÅÉ=
] u µ
u µ
v
( Åçî ) I u b ( v = − ( ) (vu ) [ − µ ( )) = b (uv ) µ− ( ) ( )I==
v
ïÜÉêÉ==
u =áë=ê~åÇçã=î~êá~ÄäÉI==
s ()=áë=íÜÉ=î~êá~åÅÉ=çÑ=uI==
u
µ=áë=íÜÉ=ÉñéÉÅíÉÇ=î~äìÉ=çÑ=u=çê=vK=
326

