Page 9 - libreta digital
P. 9
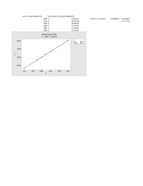
HRS. DE MANTENIMIENTO TOTAL GASTOS DE MANTENIMIENTO
4900 $ 21,010.00 5100hrs y 40 minutos 0.66666667 5100.66667
4700 $ 20,330.00 21692.2667
4850 $ 20,840.00
5000 $ 21,350.00
4950 $ 21,180.00
5200 $ 22,030.00
Fitted Line Plot
Y = 4350 + 3.400 X
S 0
22000
R-Sq 100.0%
R-Sq(adj) 100.0%
21500
Y
21000
20500
4700 4800 4900 5000 5100 5200
X

