Basic HTML Version
Table of Contents
View Full Version
Page 101 - Final-Graduate Manual 2018 V.4
P. 101
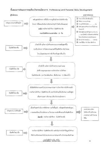
คู่มือบัณฑิตศึกษา ปีการศึกษา 2561 98
96
97
98
99
100
101
102
103
104
105
106