Page 26 - 724 Dearborn Ave
P. 26
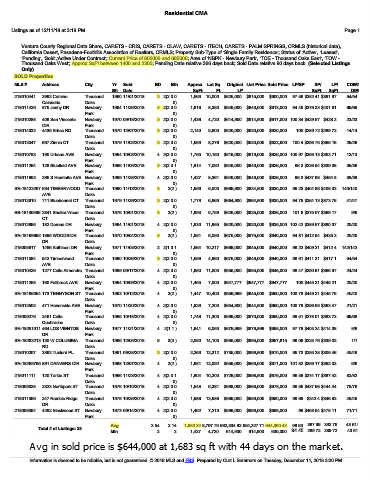
Residential CMA
Listings as of 12/11/18 at 3:19 PM Page 1
Ventura County Regional Data Share, CARETS - CRIS, CARETS - CLAW, CARETS - ITECH, CARETS - PALM SPRINGS, CRMLS (historical data),
California Desert, Pasadena-Foothills Association of Realtors, CRMLS; Property Sub-Type of 'Single Family Residence'; Status of 'Active', 'Leased',
'Pending', 'Sold','Active Under Contract'; Current Price of 600000 and 685000; Area of 'NBPK - Newbury Park', 'TOE - Thousand Oaks East', 'TOW -
Thousand Oaks West'; Approx SqFt between 1400 and 2300; Pending Date relative 366 days back; Sold Date relative 90 days back. (Selected Listings
Only)
SOLD Properties
MLS # Address City Yr Sold BD Bth Approx Lot Sq Original List Price Sold Price LP/SP SP/ LP/ CDIM/
Blt Date SqFt Ft LP SqFt SqFt DIM
218010441 2992 Camino Thousand 1960 11/01/2018 3 2(2 0 0 1,569 10,000 $625,000 $615,000 $600,000 97.56 $382.41 $391.97 54/54
Calandria Oaks 0)
218011429 875 Jenny DR Newbury 1964 11/26/2018 3 2(2 0 0 1,616 8,350 $649,000 $649,000 $613,000 94.45 $379.33 $401.61 69/69
Park 0)
218010288 408 San Vincente Newbury 1970 09/18/2018 3 2(2 0 0 1,436 4,720 $614,900 $614,900 $617,000 100.34 $429.67 $428.2 23/23
CIR Park 0)
218014332 4435 Erbes RD Thousand 1970 12/07/2018 3 2(2 0 0 2,140 8,600 $620,000 $620,000 $620,000 100 $289.72 $289.72 14/14
Oaks 0)
218012047 697 Zinnia CT Thousand 1979 11/02/2018 3 2(2 0 0 1,569 8,276 $620,000 $620,000 $622,500 100.4 $396.75 $395.16 29/29
Oaks 0)
218010783 190 Urbana AVE Newbury 1964 10/03/2018 4 3(3 0 0 1,755 10,150 $619,000 $619,000 $625,000 100.97 $356.13 $352.71 13/13
Park 0)
218011294 128 Bluefield AVE Newbury 1966 11/06/2018 3 3(2 0 1 1,914 7,092 $649,000 $649,000 $625,000 96.3 $326.54 $339.08 39/39
Park 0)
218011863 295 S Henrietta AVE Newbury 1969 11/28/2018 4 2(2 0 0 1,427 8,361 $649,000 $649,000 $625,000 96.3 $437.98 $454.8 38/38
Park 0)
SR-18123267 534 TIMBERWOOD Thousand 1990 11/13/2018 3 2(2 ) 1,556 5,000 $669,900 $634,900 $630,000 99.23 $404.88 $408.03 140/140
AVE Oaks
218012910 711 Bluebonnet CT Thousand 1979 11/29/2018 3 2(2 0 0 1,779 6,969 $664,900 $664,900 $630,000 94.75 $354.13 $373.75 47/47
Oaks 0)
BB-18190885 2841 Shelter Wood Thousand 1976 10/01/2018 3 2(2 ) 1,693 6,759 $625,000 $625,000 $635,000 101.6 $375.07 $369.17 9/9
CT Oaks
218012895 182 Dorena DR Newbury 1964 11/01/2018 4 2(2 0 0 1,630 11,955 $620,000 $620,000 $635,000 102.42 $389.57 $380.37 20/20
Park 0)
SR-18199692 1895 WOODSIDE Thousand 1970 10/04/2018 3 2(2 ) 1,551 6,090 $675,000 $675,000 $640,000 94.81 $412.64 $435.2 20/20
DR Oaks
218005917 1496 Kathleen DR Newbury 1971 11/05/2018 2 2(1 0 1 1,564 10,217 $669,000 $645,000 $640,000 99.22 $409.21 $412.4 142/142
Park 0)
218011084 542 Timberwood Thousand 1990 10/26/2018 3 2(2 0 0 1,556 4,960 $675,000 $649,000 $640,000 98.61 $411.31 $417.1 54/54
AVE Oaks 0)
218010428 1277 Calle Almendro Thousand 1969 09/17/2018 4 2(2 0 0 1,650 11,000 $655,000 $655,000 $645,000 98.47 $390.91 $396.97 24/24
Oaks 0)
218011268 160 Fallbrook AVE Newbury 1964 10/09/2018 4 2(2 0 0 1,455 7,000 $647,777 $647,777 $647,777 100 $445.21 $445.21 20/20
Park 0)
SR-18186064 173 TENNYSON ST Thousand 1963 10/12/2018 4 2(2 ) 1,447 10,400 $659,999 $645,000 $650,000 100.78 $449.21 $445.75 40/40
Oaks
218012503 471 Havenside AVE Newbury 1970 11/20/2018 4 2(2 0 0 1,639 7,200 $654,900 $644,900 $650,000 100.79 $396.58 $393.47 21/21
Park 0)
218009276 3461 Calle Thousand 1965 10/18/2018 4 2(2 0 0 1,746 11,300 $699,000 $670,000 $660,000 98.51 $378.01 $383.73 69/69
Quebracho Oaks 0)
SR-18251011 464 LOS VIENTOS Newbury 1977 11/21/2018 4 2(1 1 ) 1,641 6,053 $679,999 $679,999 $665,000 97.79 $405.24 $414.38 8/8
DR Park
SR-18282213 130 W COLUMBIA Thousand 1966 12/05/2018 5 3(3 ) 2,050 14,100 $695,000 $695,000 $667,815 96.09 $325.76 $339.02 1/1
RD Oaks
218010207 3362 Tuxford PL Thousand 1961 09/28/2018 3 2(2 0 0 2,269 12,312 $735,000 $699,900 $670,000 95.73 $295.28 $308.46 46/46
Oaks 0)
SR-18259795 891 DANVERS CIR Newbury 1968 12/07/2018 4 2(2 ) 1,681 12,092 $659,000 $659,000 $671,000 101.82 $399.17 $392.03 6/6
Park
218011111 120 Tarkio ST Thousand 1966 11/23/2018 4 3(2 0 1 1,804 10,200 $729,000 $698,900 $675,000 96.58 $374.17 $387.42 82/82
Oaks 0)
218009328 2323 Northpark ST Thousand 1976 10/10/2018 4 2(2 0 0 1,548 6,381 $698,000 $688,000 $678,000 98.55 $437.98 $444.44 76/76
Oaks 0)
218011356 347 Ramble Ridge Thousand 1979 10/25/2018 4 2(2 0 0 1,986 13,588 $689,000 $689,000 $680,000 98.69 $342.4 $346.93 46/46
DR Oaks 0)
218008064 4292 Blackwood ST Newbury 1973 09/14/2018 4 2(2 0 0 1,462 7,213 $699,000 $699,000 $685,000 98 $468.54 $478.11 71/71
Park 0)
Avg 3.54 2.14 1,683.32 8,797.79 662,334.82 654,327.71 644,360.43 98.53 387.99 393.76 43.61/
Total # of Listings: 28
Min 2 2 1,427 4,720 614,900 614,900 600,000 94.45 289.72 289.72 43.61
Information is deemed to be reliable, but is not guaranteed. © 2018 MLS and FBS. Prepared by Curt L Sommers on Tuesday, December 11, 2018 3:20 PM.

