Page 108 - E-Modul Pembelajaran Model CinQASE Materi Gerak Lurus
P. 108
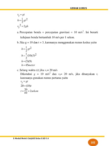
GERAK LURUS
v gt
t
2
h 1 gt
2
v t 2 2 gh
2
a. Percepatan benda = percepatan gravitasi = 10 m/s . Ini berarti
kelajuan benda bertambah 10 m/s per 1 sekon.
b. Jika g = 10 dan t = 3, karenanya menggunakan rumus kedua yaitu
h 1 gt 2
2
1 2
h ( 10 )( ) 3
2
h ( 5 )( ) 9
h 45 meter
c. Selang waktu (t) jika v = 20 m/s
1
2
Diketahui g = 10 m/s dan v = 20 m/s, jika ditanyakan t,
1
karenanya gunakan rumus pertama yaitu
v gt
t
20 ( 10 t )
t 20 2 sekon
10
E-Modul Model CinQASE Kelas X KD 3.4
102

