Page 934 - แผนอัตรากำลัง 3 ปี ประจำปีงบประมาณ 2567 - 2569
P. 934
ุ
ุ
ั
คณวฒกำรศกษำ กรอบอตรำกำลงเดม ิ กรอบอตรำกำลงใหม ่ เงนเดอน
ิ
ั
ึ
ั
ิ
ื
ั
่
ท ี ่ ชอ-สกล ุ เงน ิ หมำยเหต ุ
ื
คณวฒ ิ สำขำ เลขทตำแหนง ่ ตำแหนง ่ ชอตำแหนงในสำยงำน ประเภทตำแหนง ระดับ เลขทตำแหนง ่ ตำแหนง ่ ชอตำแหนงในสำยงำน ประเภทตำแหนง ระดับ เงนเดอน เงนประจำตำแหนง ค่ำตอบแทน/ รวม/ปี
ุ
ุ
ี
่
่
ื
ื
ิ
่
่
ื
่
ี
่
่
่
ิ
่
่
เงนเพมอน ื ่
ิ
ิ
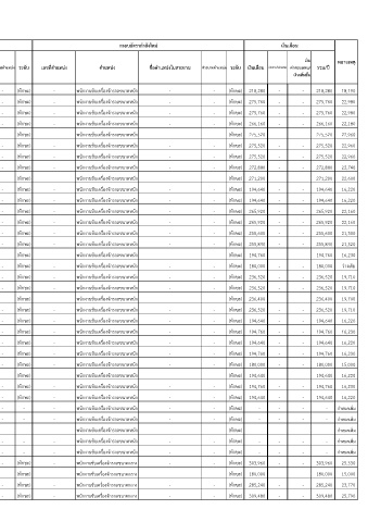
1529 นายประนอม ทองคาใบ ป.6 - - พนกงานขบเครองจกรกลขนาดหนก ั - - (ทกษะ) - พนกงานขบเครองจกรกลขนาดหนก ั - - (ทกษะ) 218,280 - - 218,280 18,190
ั
ั
ั
ั
ั
ื
่
ั
ั
่
ื
ั
ั
1530 นายวิสุทธิ ์ แกวกลม ป.6 - - พนกงานขบเครองจกรกลขนาดหนก ั - - (ทกษะ) - พนกงานขบเครองจกรกลขนาดหนก ั - - (ทกษะ) 275,760 - - 275,760 22,980
้
ั
ั
่
ั
ื
ื
ั
่
ั
ั
ั
่
ื
ั
ื
่
ั
ั
ั
ั
ั
ั
ั
1531 นายเสนอ คาประกอบ ป.6 - - พนกงานขบเครองจกรกลขนาดหนก ั - - (ทกษะ) - พนกงานขบเครองจกรกลขนาดหนก ั - - (ทกษะ) 275,760 - - 275,760 22,980
้
1532 นายสมชาย ใจทวม ปวช. - - พนกงานขบเครองจกรกลขนาดหนก ั - - (ทกษะ) - พนกงานขบเครองจกรกลขนาดหนก ั - - (ทกษะ) 266,160 - - 266,160 22,180
ั
ั
ื
ั
ั
ื
่
ั
ั
ั
ั
่
่
ั
่
ื
ื
ั
1533 นายสุพล โพธออง ป.4 - - พนกงานขบเครองจกรกลขนาดหนก ั - - (ทกษะ) - พนกงานขบเครองจกรกลขนาดหนก ั - - (ทกษะ) 275,520 - - 275,520 22,960
ั
ั
่
ั
ั
ั
ิ
์
ั
ั
ี
1534 นายสะอาด ทองสนเทยะ ม.3 - - พนกงานขบเครองจกรกลขนาดหนก ั - - (ทกษะ) - พนกงานขบเครองจกรกลขนาดหนก ั - - (ทกษะ) 275,520 - - 275,520 22,960
ั
ั
ั
ั
ั
ั
่
ั
ื
ื
ั
่
ั
ั
ั
ื
1535 นายอภิชาติ อยสข ุ ป.7 - - พนกงานขบเครองจกรกลขนาดหนก ั - - (ทกษะ) - พนกงานขบเครองจกรกลขนาดหนก ั - - (ทกษะ) 275,520 - - 275,520 22,960
ั
่
ั
่
ู
ื
ั
่
ั
ั
ั
ื
ื
ั
ั
1536 นายสมาน คงเมอง ม.3 - - พนกงานขบเครองจกรกลขนาดหนก ั - - (ทกษะ) - พนกงานขบเครองจกรกลขนาดหนก ั - - (ทกษะ) 272,880 - - 272,880 22,740
ั
่
ั
ื
่
ั
ั
ั
ั
ื
่
ั
์
ั
ื
่
ั
ั
ั
ิ
ั
ั
1537 นายอ านาจ โพธพนศร ี ม.6 - - พนกงานขบเครองจกรกลขนาดหนก ั - - (ทกษะ) - พนกงานขบเครองจกรกลขนาดหนก ั - - (ทกษะ) 271,200 - - 271,200 22,600
ั
่
ั
ั
ั
ั
ื
ั
ั
ื
่
ั
1538 นายสุรัต แสงแกว ้ ม.3 - - พนกงานขบเครองจกรกลขนาดหนก ั - - (ทกษะ) - พนกงานขบเครองจกรกลขนาดหนก ั - - (ทกษะ) 194,640 - - 194,640 16,220
ั
ื
1539 นายอนุกูล เอยมชม ป.6 - - พนกงานขบเครองจกรกลขนาดหนก ั - - (ทกษะ) - พนกงานขบเครองจกรกลขนาดหนก ั - - (ทกษะ) 194,640 - - 194,640 16,220
ี
ั
่
่
ั
ั
่
ั
ั
ั
ั
ั
ื
ื
ั
่
ั
ั
ั
ั
ี
1540 นายประดิพัฒน์ เอยมสอาด ม.3 - - พนกงานขบเครองจกรกลขนาดหนก ั - - (ทกษะ) - พนกงานขบเครองจกรกลขนาดหนก ั - - (ทกษะ) 265,920 - - 265,920 22,160
ั
่
่
ั
ื
ั
1541 นายต่อศักดิ ์ เสอทอง ปวส. - - พนกงานขบเครองจกรกลขนาดหนก ั - - (ทกษะ) - พนกงานขบเครองจกรกลขนาดหนก ั - - (ทกษะ) 265,920 - - 265,920 22,160
ื
่
ั
ั
ื
ั
ั
ั
ื
่
ั
ั
ั
ั
ั
ั
ั
ั
ื
่
1542 นายปราโมช คลงสน ิ ป.6 - - พนกงานขบเครองจกรกลขนาดหนก ั - - (ทกษะ) - พนกงานขบเครองจกรกลขนาดหนก ั - - (ทกษะ) 255,600 - - 255,600 21,300
ั
ื
ั
ั
ั
่
ื
ั
ั
่
1543 นายเทพรถ ยอดเกด ิ ม.6 - - พนกงานขบเครองจกรกลขนาดหนก ั - - (ทกษะ) - พนกงานขบเครองจกรกลขนาดหนก ั - - (ทกษะ) 255,840 - - 255,840 21,320
ั
ั
่
ั
ั
ั
ื
ั
ื
ั
ั
ื
ั
่
ั
ั
ั
ั
1544 นายสาธิต กลบโต ป.6 - - พนกงานขบเครองจกรกลขนาดหนก ั - - (ทกษะ) - พนกงานขบเครองจกรกลขนาดหนก ั - - (ทกษะ) 194,760 - - 194,760 16,230
่
ี
ั
1545 -วาง- - - - พนกงานขบเครองจกรกลขนาดหนก ั - - (ทกษะ) - พนกงานขบเครองจกรกลขนาดหนก ั - - (ทกษะ) 180,000 - - 180,000 วางเดม ิ
่
่
ั
ั
ั
ั
ั
ั
ั
่
ื
ั
่
ื
ั
ื
ั
่
ื
่
ั
ั
1546 นายสุทัศน์ ขาขน ุ ม.3 - - พนกงานขบเครองจกรกลขนาดหนก ั - - (ทกษะ) - พนกงานขบเครองจกรกลขนาดหนก ั - - (ทกษะ) 236,520 - - 236,520 19,710
ั
ั
ั
ั
ั
่
ั
ื
ั
ื
่
ั
ั
ั
ั
1547 นายสงกรานต์ พอปญญา ม.3 - - พนกงานขบเครองจกรกลขนาดหนก ั - - (ทกษะ) - พนกงานขบเครองจกรกลขนาดหนก ั - - (ทกษะ) 236,520 - - 236,520 19,710
ั
่
ั
ุ
ั
1548 นายมงคล เกตไชโย ม.3 - - พนกงานขบเครองจกรกลขนาดหนก ั - - (ทกษะ) - พนกงานขบเครองจกรกลขนาดหนก ั - - (ทกษะ) 236,400 - - 236,400 19,700
ั
ั
ื
ั
ั
ั
ั
่
่
ื
ั
่
่
ื
ิ
ิ
ั
ั
ั
1549 นายณัฐพงศ์ อมศลป ์ ปวส. - - พนกงานขบเครองจกรกลขนาดหนก ั - - (ทกษะ) - พนกงานขบเครองจกรกลขนาดหนก ั - - (ทกษะ) 236,520 - - 236,520 19,710
ั
่
ื
ั
ั
ั
ั
ั
ื
ั
ั
ั
ั
ั
่
ื
1550 นายมิงขวัญ เสอภ ู ่ ม.3 - - พนกงานขบเครองจกรกลขนาดหนก ั - - (ทกษะ) - พนกงานขบเครองจกรกลขนาดหนก ั - - (ทกษะ) 194,640 - - 194,640 16,220
ั
่
ั
ื
่
ั
ั
ั
ั
่
ื
ื
1551 นายวิชาญ จนทรเขยว ป.ตร ี - - พนกงานขบเครองจกรกลขนาดหนก ั - - (ทกษะ) - พนกงานขบเครองจกรกลขนาดหนก ั - - (ทกษะ) 194,760 - - 194,760 16,230
ี
ั
ั
ั
่
์
ั
ั
ื
่
ื
่
ั
1552 นายสุดยอด บญม ี ป.6 - - พนกงานขบเครองจกรกลขนาดหนก ั - - (ทกษะ) - พนกงานขบเครองจกรกลขนาดหนก ั - - (ทกษะ) 194,640 - - 194,640 16,220
ั
ั
ั
ุ
ั
ั
ั
ั
ั
ั
่
ั
ั
1553 นายพนารัตน์ ชาวนายก ป.6 - - พนกงานขบเครองจกรกลขนาดหนก ั - - (ทกษะ) - พนกงานขบเครองจกรกลขนาดหนก ั - - (ทกษะ) 194,760 - - 194,760 16,230
ั
ั
ั
ื
่
ั
ื
่
ื
ั
ั
ั
ิ
่
ื
ั
ั
ั
1554 นายสมเกียรติ แกววกา ปวช. - - พนกงานขบเครองจกรกลขนาดหนก ั - - (ทกษะ) - พนกงานขบเครองจกรกลขนาดหนก ั - - (ทกษะ) 180,000 - - 180,000 15,000
ั
ั
้
ี
ั
ั
ั
ั
ั
1555 นายกฤษดา ปสสาเวยง ม.6 - - พนกงานขบเครองจกรกลขนาดหนก ั - - (ทกษะ) - พนกงานขบเครองจกรกลขนาดหนก ั - - (ทกษะ) 194,640 - - 194,640 16,220
ื
ั
่
ั
ื
่
ั
ั
ั
ั
ั
ั
ั
่
ื
่
ื
ั
ั
ั
ั
1556 นายส าริต ปนนาค ป.6 - - พนกงานขบเครองจกรกลขนาดหนก ั - - (ทกษะ) - พนกงานขบเครองจกรกลขนาดหนก ั - - (ทกษะ) 194,760 - - 194,760 16,230
้
ิ
ิ
1557 นายดนัย ธนเจรญพพฒน ์ ปวช. - - พนกงานขบเครองจกรกลขนาดหนก ั - - (ทกษะ) - พนกงานขบเครองจกรกลขนาดหนก ั - - (ทกษะ) 194,640 - - 194,640 16,220
ั
ั
ั
ั
่
ั
ื
่
ื
ั
ั
ั
ั
1558 -วาง- - - - - - - - - พนกงานขบเครองจกรกลขนาดหนก ั - - (ทกษะ) - - - - กาหนดเพม ่ ิ
่
ั
ั
่
ื
ั
ั
1559 -วาง- - - - - - - - - พนกงานขบเครองจกรกลขนาดหนก ั - - (ทกษะ) - - - - กาหนดเพม ่ ิ
่
ั
ื
่
ั
ั
ั
1560 -วาง- - - - - - - - - พนกงานขบเครองจกรกลขนาดหนก ั - - (ทกษะ) - - - - กาหนดเพม ิ ่
ั
ั
่
ั
ั
ื
่
1561 -วาง- - - - - - - - - พนกงานขบเครองจกรกลขนาดหนก ั - - (ทกษะ) - - - - กาหนดเพม ิ ่
่
ั
ั
ั
ั
่
ื
1562 -วาง- - - - - - - - - พนกงานขบเครองจกรกลขนาดหนก ั - - (ทกษะ) - - - - กาหนดเพม ่ ิ
ั
่
ั
ั
ื
่
ั
ั
ั
ั
1563 นายส ารวย สบายแท ้ ป.6 - - พนกงานขบเครองจกรกลขนาดกลาง - - (ทกษะ) - พนกงานขบเครองจกรกลขนาดกลาง - - (ทกษะ) 303,960 - - 303,960 25,330
ั
ื
่
ั
่
ั
ั
ื
ั
่
1564 นายประชารักษ์ นกเพง ็ ป.6 - - พนกงานขบเครองจกรกลขนาดกลาง - - (ทกษะ) - พนกงานขบเครองจกรกลขนาดกลาง - - (ทกษะ) 180,000 - - 180,000 15,000
ั
ื
ั
ั
ั
ั
ั
่
ื
ั
ั
ั
ั
ื
ั
่
1565 นายอรรถพล มาสวาง ปวส. - - พนกงานขบเครองจกรกลขนาดกลาง - - (ทกษะ) - พนกงานขบเครองจกรกลขนาดกลาง - - (ทกษะ) 285,240 - - 285,240 23,770
ั
่
ั
ั
ั
ั
ื
่
่
ุ
ื
ั
1566 นายชัยณรงค์ ครฑจนทร ์ ม.6. - - พนกงานขบเครองจกรกลขนาดกลาง - - (ทกษะ) - พนกงานขบเครองจกรกลขนาดกลาง - - (ทกษะ) 309,480 - - 309,480 25,790
ั
ั
ั
ื
่
ั
ั
ั
ั
ั

