Page 40 - Dwi Nurul Maulinisa-21201004-MuPM-3BP-Buku Matematika SMK Kelas X Semester 1
P. 40
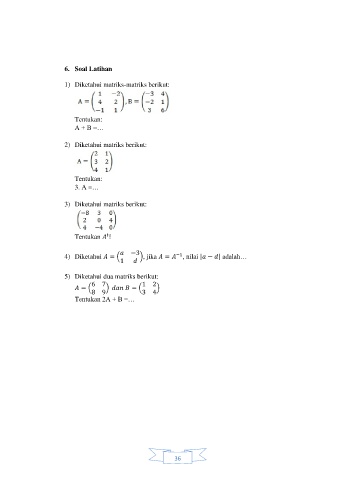
6. Soal Latihan
1) Diketahui matriks-matriks berikut:
Tentukan:
A + B =…
2) Diketahui matriks berikut:
Tentukan:
3. A =…
3) Diketahui matriks berikut:
Tentukan !
−3
−1
4) Diketahui = ( ), jika = , nilai | − | adalah…
1
5) Diketahui dua matriks berikut:
6 7 1 2
= ( ) = ( )
8 9 3 4
Tentukan 2A + B =…
36

