Page 3 - Blackman Davis Tract Deliverables Package
P. 3
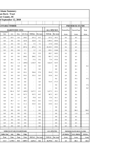
Timber Volume Summary
Blackman Davis Tract
Kershaw County, SC
Inventory as of September 12, 2018
MERCHANTABLE TIMBER PREMERCH. STANDS
Stand Description PINE TONS HARDWOOD TONS ALL SPECIES Planted Pine Natural Type Total
Origin White Cherrybark
Stand # Timber Type Year Acres Saw CNS Pulp TOTAL Per Acre Red Oak Oak Oak Ash Misc HW Pulp TOTAL Per Acre TOTAL Per Acre Acres Acres Acres
1 Bottomland Hardwood 1982 3.9 0.0 0.0 0.0 - 0.0 0.0 6.2 0.0 83.9 6.6 150.5 247.2 63.4 247.2 63.4 0.0 0.0 -
2 Pine-Hardwood 1992 15.1 13.6 385.1 1,063.0 1,461.7 96.8 0.0 0.0 0.0 0.0 0.0 123.8 123.8 8.2 1,585.5 105.0 0.0 0.0 -
3 Planted Pine 1999 1.2 6.8 27.6 113.2 147.6 123.0 0.0 0.0 0.0 0.0 0.0 9.4 9.4 7.8 157.0 130.8 0.0 0.0 -
4 Planted Pine 1999 77.9 444.0 1,791.7 7,346.0 9,581.7 123.0 0.0 0.0 0.0 0.0 0.0 607.6 607.6 7.8 10,189.3 130.8 0.0 0.0 -
5 Planted Pine 1999 5.7 43.9 283.9 318.6 646.4 113.4 0.0 0.0 0.0 0.0 0.0 5.7 5.7 1.0 652.1 114.4 0.0 0.0 -
6 Planted Pine 1999 1.2 0.0 0.0 183.6 183.6 153.0 0.0 0.0 0.0 0.0 0.0 19.1 19.1 15.9 202.7 168.9 0.0 0.0 -
7 Planted Pine 1982 5.8 605.5 0.0 94.0 699.5 120.6 0.0 0.0 0.0 0.0 0.0 204.2 204.2 35.2 903.7 155.8 0.0 0.0 -
8 Planted Pine 1982 0.5 52.2 0.0 8.1 60.3 120.6 0.0 0.0 0.0 0.0 0.0 17.6 17.6 35.2 77.9 155.8 0.0 0.0 -
9 Bottomland Hardwood 1982 13.1 390.4 0.0 70.7 461.1 35.2 0.0 51.1 0.0 69.4 11.8 1,050.6 1,182.9 90.3 1,644.0 125.5 0.0 0.0 -
10 Bottomland Hardwood 1999 46.4 0.0 0.0 0.0 - 0.0 0.0 0.0 0.0 0.0 0.0 0.0 - 0.0 - 0.0 0.0 46.4 46.4
11 Cutover 2018 30.8 0.0 0.0 0.0 - 0.0 0.0 0.0 0.0 0.0 0.0 0.0 - 0.0 - 0.0 0.0 0.0 -
12 Creek Hardwood 1970 5.1 0.0 0.0 0.0 - 0.0 0.0 0.0 111.7 0.0 0.0 183.1 294.8 57.8 294.8 57.8 0.0 0.0 -
13 Creek Hardwood 1970 11.9 0.0 0.0 0.0 - 0.0 0.0 0.0 0.0 0.0 0.0 315.4 315.4 26.5 315.4 26.5 0.0 0.0 -
14 Creek Hardwood 1999 47.6 0.0 0.0 0.0 - 0.0 0.0 0.0 0.0 0.0 0.0 0.0 - 0.0 - 0.0 0.0 47.6 47.6
15 Planted Pine 1999 3.0 17.1 62.7 434.7 514.5 171.5 0.0 0.0 0.0 0.0 0.0 0.0 - 0.0 514.5 171.5 0.0 0.0 -
16 Creek Hardwood 1999 27.6 0.0 0.0 0.0 - 0.0 0.0 0.0 0.0 0.0 0.0 0.0 - 0.0 - 0.0 0.0 27.6 27.6
17 Creek Hardwood 1999 58.5 0.0 0.0 0.0 - 0.0 0.0 0.0 0.0 0.0 0.0 0.0 - 0.0 - 0.0 0.0 58.5 58.5
18 Bottomland Hardwood 1982 41.6 0.0 0.0 0.0 - 0.0 0.0 66.6 0.0 894.4 70.7 1,605.8 2,637.5 63.4 2,637.5 63.4 0.0 0.0 -
19 Bottomland Hardwood 1982 11.7 0.0 0.0 0.0 - 0.0 0.0 0.0 0.0 0.0 0.0 567.5 567.5 48.5 567.5 48.5 0.0 0.0 -
20 Bottomland Hardwood 1982 0.9 0.0 0.0 0.0 - 0.0 0.0 1.4 0.0 19.4 1.5 34.7 57.0 63.3 57.0 63.3 0.0 0.0 -
21 Bottomland Hardwood 1982 1.8 0.0 0.0 0.0 - 0.0 0.0 2.9 0.0 38.7 3.1 69.5 114.2 63.4 114.2 63.4 0.0 0.0 -
22 Bottomland Hardwood 1982 3.4 0.0 0.0 0.0 - 0.0 0.0 5.4 0.0 73.1 5.8 131.2 215.5 63.4 215.5 63.4 0.0 0.0 -
23 Non-Timber 0.1 0.0 0.0 0.0 - 0.0 0.0 0.0 0.0 0.0 0.0 0.0 - 0.0 - 0.0 0.0 0.0 -
24 Creek Hardwood 1999 206.3 0.0 0.0 0.0 - 0.0 0.0 0.0 0.0 0.0 0.0 0.0 - 0.0 - 0.0 0.0 206.3 206.3
25 Creek Hardwood 1999 15.8 0.0 0.0 0.0 - 0.0 0.0 0.0 0.0 0.0 0.0 0.0 - 0.0 - 0.0 0.0 15.8 15.8
0.0 0.0 0.0 0.0 - 0.0 0.0 0.0 0.0 0.0 0.0 0.0 - 0.0 - 0.0 0.0 0.0 -
0.0 0.0 0.0 0.0 - 0.0 0.0 0.0 0.0 0.0 0.0 0.0 - 0.0 - 0.0 0.0 0.0 -
0.0 0.0 0.0 0.0 - 0.0 0.0 0.0 0.0 0.0 0.0 0.0 - 0.0 - 0.0 0.0 0.0 -
0.0 0.0 0.0 0.0 - 0.0 0.0 0.0 0.0 0.0 0.0 0.0 - 0.0 - 0.0 0.0 0.0 -
TIMBER CATEGORY MERCHANTABLE PINE MERCHANTABLE HARDWOOD ALL SPECIES PREMERCHANTABLE STANDS
PRODUCT Saw CNS Pulp R. Oak W. Oak ChBk. Oak Ash Misc. Pulp PP PREM. NAT. PREM. TOTAL
UNITS ACRES Tons Tons Tons TOTAL Per Acre Tons Tons Tons Tons Tons Tons TOTAL Per Acre TOTAL Per Acre Acres Acres Acres
TOTAL 636.9 1,573.5 2,551.0 9,631.9 13,756.4 21.6 0.0 133.6 111.7 1,178.9 99.5 5,095.7 6,619.4 10.4 20,375.8 32.0 0.0 402.2 402.2

