Page 223 - 1300 Math Formulas
P. 223
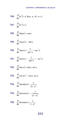
CHAPTER 8. DIFFERENTIAL CALCULUS
Ç
786. () ~~ = ñ äå ~ I=~ > I=~ ≠ NK=
ñ
M
Çñ
=
Ç
787. () ÉÉ = ñ =
ñ
Çñ
=
Ç
788. ( ñ = Åçë ñ =
)ëáå
Çñ
=
Ç
789. ( ñ = − ëáå ñ =
)Åçë
Çñ
=
Ç N
790. ( ñ = = ëÉÅ O ñ =
)í~å
Çñ Åçë O ñ
=
Ç N
791. ( ñ = − = − ÅëÅ O ñ =
)Åçí
Çñ ëáå O ñ
=
Ç
792. ( ñ = í~å ñ ⋅ ëÉÅ ñ =
)ëÉÅ
Çñ
=
Ç
793. ( ñ = − Åçí ñ ⋅ ÅëÅ ñ =
)ÅëÅ
Çñ
=
Ç N
794. ( ñ = =
)~êÅëáå
Çñ N− ñ O
=
Ç N
795. ( ñ = − =
)~êÅÅçë
Çñ N− ñ O
=
Ç N
796. ( ñ = =
)~êÅí~å
Çñ N+ ñ O
=
213

