Page 87 - 2019-2020 Catalog Update 2020 02 21
P. 87
Admissions
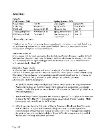
Calendar
Fall Semester 2019 Spring Semester 2020
Class Begins July 01 Class Begins January 06
Labor Day September 2 Spring Break March 16-20
Fall Break September 23-27 Memorial Day May 25
Thanksgiving Break November 28-29 Spring Semester Ends June 12
Fall Semester Ends December 6 Commencement & June 15
Graduation*
+ Dates subject to change.
* Students having “time” to make-up do not graduate until verification is provided that all time
has been made up and graduation requirements fulfilled. Graduation requirements include
completion of all required clinical competencies.
Application Deadline
In accordance with the entry registration date, the Selection Committee must complete its work
prior to arrival of the incoming class. In order to facilitate selection of the incoming new class
and its entry registration, a preferred application final date of March 1st has been established
th
with materials due by March 15 .
Application Requirements
Application requirements include satisfactory completion of application requirements as
identified in both the Applicant & Admission section and school specific section of the Catalog.
Completion of the application requirements is required before the applicant file is reviewed by
Selection Committee. Completion of the application process does not guarantee
selection/admission into the program.
1. An applicant must be a high school graduate or have a GED prior to the program start date.
Please note that these are minimum requirements and applicants are ranked according to
academic criteria. The applicant must submit an official transcript from the high school from
which they graduated.
2. American College Test (ACT) results. The Scholastic Aptitude Test (SAT) may be submitted
in lieu of the ACT. The SAT is evaluated utilizing an ACT/SAT (Critical Reading + Math)
concordance scale available on the ACT website.
3. Official transcript from the University of Central Arkansas or Henderson State University
with a 2.5 G.P.A. or higher and completion of required credit hours of the prescribed
curriculum or an official transcript from an accredited university or college indicating that
the applicant has been awarded a bachelor’s degree. Official transcripts must be provided
from all post-secondary educational providers.
Page | 87

