Page 2005 - Laporan Akhir Imtihan Wathoni Tahun 2023
P. 2005
Tanggal Lahir Nama Ibu
No Nama Santri Tempat Lahir L/P No Peserta IW 2023 Nomor Ijazah
Tgl Bln Thn Kandung
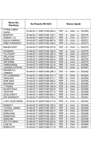
FITRIA LINDA
205 GINA MEILISA BANJARMASIN 02 05 2008 P W-44-63-71-69973188-044-2 PDF – S – 1444 – 2 – 003369
SARIE
206 HASANAH AZKIA BANJARMASIN 01 10 2008 P BASITAH W-44-63-71-69973188-138-7 PDF – S – 1444 – 2 – 003370
207 HUMAIRO BANJARMASIN 12 05 2008 P ZAINAH. HJ W-44-63-71-69973188-264-7 PDF – S – 1444 – 2 – 003371
208 INAYAH BANJARMASIN 05 03 2009 P MULIA HIKMAH W-44-63-71-69973188-087-4 PDF – S – 1444 – 2 – 003372
209 INDAH NUR ADISTA BANJARMASIN 23 08 2008 P RINA PURWANTI W-44-63-71-69973188-169-3 PDF – S – 1444 – 2 – 003373
JAHRATUL AULIA
210 BANJARMASIN 07 01 2006 P MAHDIYANTI W-44-63-71-69973188-337-6 PDF – S – 1444 – 2 – 003374
SOLEHAT
211 KAFFATUN NAJWA BANJARMASIN 29 06 2008 P RUSIDAH W-44-63-71-69973188-182-8 PDF – S – 1444 – 2 – 003375
212 LISA DWIYANTI BANJARMASIN 14 01 2008 P YULIYANTI W-44-63-71-69973188-160-3 PDF – S – 1444 – 2 – 003376
213 MIFTAHUL SALSABILA BANJARMASIN 19 07 2008 P SALATIAH W-44-63-71-69973188-202-6 PDF – S – 1444 – 2 – 003377
214 NAILA AMALIA BANJARMASIN 23 05 2008 P MARIYANI W-44-63-71-69973188-303-4 PDF – S – 1444 – 2 – 003378
215 NAJLA BANJARMASIN 02 03 2008 P SRI ERNA W-44-63-71-69973188-092-8 PDF – S – 1444 – 2 – 003379
216 NAJWA MAHMUDAH BANJARMASIN 13 02 2008 P HAIRUNNISA W-44-63-71-69973188-121-6 PDF – S – 1444 – 2 – 003380
217 NIDA WATI BANJARMASIN 18 11 2006 P JAUHAR LATIFAH W-44-63-71-69973188-060-4 PDF – S – 1444 – 2 – 003381
RAHMATUL
218 NOOR ALFISYAH BANJARMASIN 06 01 2008 P W-44-63-71-69973188-286-3 PDF – S – 1444 – 2 – 003382
JANNAH
219 NOOR HALIMAH BANJARMASIN 30 11 2007 P SITI ZUBAIDAH W-44-63-71-69973188-331-3 PDF – S – 1444 – 2 – 003383
220 NUR IQLIMA AZ-ZAHRO BANJARMASIN 15 02 2009 P AWALIAH W-44-63-71-69973188-072-1 PDF – S – 1444 – 2 – 003384
221 NUR MA`RIFAH BANJARMASIN 08 04 2008 P NUR AIDA W-44-63-71-69973188-089-2 PDF – S – 1444 – 2 – 003385
222 NURASIAH MARTAPURA 08 12 2007 P NOORANI W-44-63-71-69973188-187-3 PDF – S – 1444 – 2 – 003386
223 NURLINDA RIZKIA BANJARMASIN 31 07 2008 P FITRIANI W-44-63-71-69973188-199-9 PDF – S – 1444 – 2 – 003387
224 ADELLA KHUMAIRA BANJARMASIN 07 02 2008 P MURSYIDAH W-44-63-71-69973188-002-8 PDF – S – 1444 – 2 – 003388
225 AFIFAH BANJARMASIN 21 05 2008 P HATIYAH W-44-63-71-69973188-077-5 PDF – S – 1444 – 2 – 003389
226 AISYAH SAFITRI BASARANG 03 10 2008 P SUSILAWATI W-44-63-71-69973188-054-1 PDF – S – 1444 – 2 – 003390
227 AMALIZAH BANJARMASIN 20 05 2008 P SRI WARDIATI W-44-63-71-69973188-170-2 PDF – S – 1444 – 2 – 003391
AURA QUINN CHELSEA
228 LUMAJANG 28 01 2008 P LUKY QUINTARINI W-44-63-71-69973188-211-6 PDF – S – 1444 – 2 – 003392
AL ZAHRA
229 AURA RAMADANI SAMARINDA 16 09 2008 P MARIATI W-44-63-71-69973188-125-2 PDF – S – 1444 – 2 – 003393
230 FENNY MALINDA BANJARMASIN 02 05 2007 P FATHUL JANAH W-44-63-71-69973188-158-5 PDF – S – 1444 – 2 – 003394
231 GHAIDA TSURAYA BANJARMASIN 09 05 2007 P HARTATI W-44-63-71-69973188-023-5 PDF – S – 1444 – 2 – 003395
232 HILYANA PUTRI BANJARMASIN 04 08 2008 P NORLIANA W-44-63-71-69973188-193-6 PDF – S – 1444 – 2 – 003396
233 KHADIJAH HAFSAH BANJARMASIN 30 12 2007 P NORSIYAH W-44-63-71-69973188-128-8 PDF – S – 1444 – 2 – 003397
234 KHADIJATUN NABILA BANJARMASIN 08 01 2008 P MARLINA W-44-63-71-69973188-250-3 PDF – S – 1444 – 2 – 003398
235 KHAIRATUN NISA BANJARMASIN 05 08 2008 P SITI PATIMAH W-44-63-71-69973188-220-6 PDF – S – 1444 – 2 – 003399
236 LAILATUL SYA`ADAH BANJARMASIN 07 09 2007 P LAM`AH W-44-63-71-69973188-041-5 PDF – S – 1444 – 2 – 003400
237 LIYA ZAFIRAH BANJARMASIN 08 04 2009 P NORAYATI W-44-63-71-69973188-317-8 PDF – S – 1444 – 2 – 003401
1094

