Page 63 - الاحصاء السياحي والفندقي _Neat2سياحه ثان
P. 63
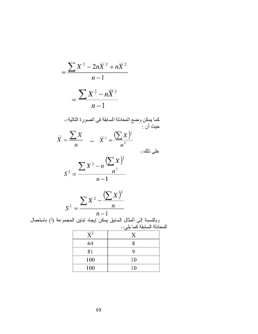
X 2 2nX 2 nX 2
n 1
X 2 nX 2
n 1
ًٔب ٙٝ ٌٖٔ٣غ أُؼبكُخ اَُبثوخ ك ٢اُٖٞهح اُزبُ٤خ-:
ؽ٤ش إٔ :
X X ،، X 2 X2
n2
n
ػِ ٠مُي-:
S 2 X2
X2 n n2
n 1
X 2 X 2
S2 n
n 1
ٝثبَُ٘جخ ئُ ٠أُضبٍ اَُبثن ٌٖٔ٣ئ٣غبك رجب ٖ٣أُغٔٞػخ (أ) ثبٍزؼٔبٍ
أُؼبكُخ اَُبثوخ ًٔب -:٢ِ٣
X2 X
64 8
81 9
100 10
100 10
63

