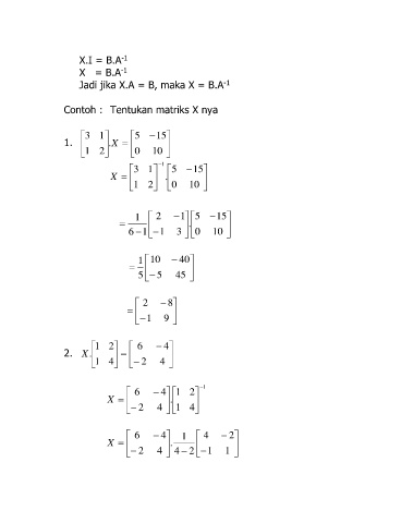
Page 19 - EBOOK MATRIKS
P. 19
-1
X.I = B.A
-1
X = B.A
Jadi jika X.A = B, maka X = B.A
-1
Contoh : Tentukan matriks X nya
3 1 5 15
1. .X
1 2 0 10
3 1 1 5 15
X .
1 2 0 10
1 2 1 5 15
.
6 1 1 3 0 10
1 10 40
5 5 45
2 8
1 9
1 2 6 4
2. X .
1 4 2 4
6 4 1 2 1
X .
2 4 1 4
6 4 1 4 2
X .
2 4 4 2 1 1

