Page 252 - เอกสารตรวจรับระบบ dr site
P. 252
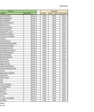
เอกสารแนบ 6
Export Import Compare
OWNER TABLE_NAME RACORDS OWNER TABLE_NAME RACORDS OWNER TABLE_NAME RACORDS
SCOBKEGAT MBREQAPPLEXPENSE 0 rows SCOBKEGAT MBREQAPPLEXPENSE 0 rows TRUE TRUE TRUE
SCOBKEGAT MBREQAPPLINSGROUP 0 rows SCOBKEGAT MBREQAPPLINSGROUP 0 rows TRUE TRUE TRUE
SCOBKEGAT MBREQCHGGAINDET 0 rows SCOBKEGAT MBREQCHGGAINDET 0 rows TRUE TRUE TRUE
SCOBKEGAT MBREQCHGGAINMASTER 0 rows SCOBKEGAT MBREQCHGGAINMASTER 0 rows TRUE TRUE TRUE
SCOBKEGAT MBREQMONTHCHG 0 rows SCOBKEGAT MBREQMONTHCHG 0 rows TRUE TRUE TRUE
SCOBKEGAT MBREQMONTHCHGDET 0 rows SCOBKEGAT MBREQMONTHCHGDET 0 rows TRUE TRUE TRUE
SCOBKEGAT MBUCFDIVAVGGROUP 0 rows SCOBKEGAT MBUCFDIVAVGGROUP 0 rows TRUE TRUE TRUE
SCOBKEGAT MBUCFMEMBTYPE_IMF 0 rows SCOBKEGAT MBUCFMEMBTYPE_IMF 0 rows TRUE TRUE TRUE
SCOBKEGAT MGMRTGMASTUPGRADE 0 rows SCOBKEGAT MGMRTGMASTUPGRADE 0 rows TRUE TRUE TRUE
SCOBKEGAT MGMRTGREFLNCOLLMAST 0 rows SCOBKEGAT MGMRTGREFLNCOLLMAST 0 rows TRUE TRUE TRUE
SCOBKEGAT MISRATIOTEST 0 rows SCOBKEGAT MISRATIOTEST 0 rows TRUE TRUE TRUE
SCOBKEGAT MISRATIOTESTVALUE 0 rows SCOBKEGAT MISRATIOTESTVALUE 0 rows TRUE TRUE TRUE
SCOBKEGAT OLCFLOANTYPEMAPACCCODE 0 rows SCOBKEGAT OLCFLOANTYPEMAPACCCODE 0 rows TRUE TRUE TRUE
SCOBKEGAT OLCFLOANTYPESENDTIME 0 rows SCOBKEGAT OLCFLOANTYPESENDTIME 0 rows TRUE TRUE TRUE
SCOBKEGAT OLCFROUNDINGFACTOR 0 rows SCOBKEGAT OLCFROUNDINGFACTOR 0 rows TRUE TRUE TRUE
SCOBKEGAT OLCFROUNDINGFACTORDET 0 rows SCOBKEGAT OLCFROUNDINGFACTORDET 0 rows TRUE TRUE TRUE
SCOBKEGAT OLCLSMTHCONTBALANCE 0 rows SCOBKEGAT OLCLSMTHCONTBALANCE 0 rows TRUE TRUE TRUE
SCOBKEGAT OLCLSMTHINTARREAR 0 rows SCOBKEGAT OLCLSMTHINTARREAR 0 rows TRUE TRUE TRUE
SCOBKEGAT OLCLSMTHMISSPRNPAY 0 rows SCOBKEGAT OLCLSMTHMISSPRNPAY 0 rows TRUE TRUE TRUE
SCOBKEGAT OLCLSMTHSTATUS 0 rows SCOBKEGAT OLCLSMTHSTATUS 0 rows TRUE TRUE TRUE
SCOBKEGAT OLCOLLMASTASSET 0 rows SCOBKEGAT OLCOLLMASTASSET 0 rows TRUE TRUE TRUE
SCOBKEGAT OLCOLLMASTOTHER 0 rows SCOBKEGAT OLCOLLMASTOTHER 0 rows TRUE TRUE TRUE
SCOBKEGAT OLCOLLMASTPERSONGRP 0 rows SCOBKEGAT OLCOLLMASTPERSONGRP 0 rows TRUE TRUE TRUE
SCOBKEGAT OLCOLLMASTPERSONGRPDET 0 rows SCOBKEGAT OLCOLLMASTPERSONGRPDET 0 rows TRUE TRUE TRUE
SCOBKEGAT OLCONTCOLL 0 rows SCOBKEGAT OLCONTCOLL 0 rows TRUE TRUE TRUE
SCOBKEGAT OLLOANRECEIVEOTHERPAY 0 rows SCOBKEGAT OLLOANRECEIVEOTHERPAY 0 rows TRUE TRUE TRUE
SCOBKEGAT OLUCFCONTLAW 0 rows SCOBKEGAT OLUCFCONTLAW 0 rows TRUE TRUE TRUE
SCOBKEGAT OUT_REPORT_KATE 0 rows SCOBKEGAT OUT_REPORT_KATE 0 rows TRUE TRUE TRUE
SCOBKEGAT PBCATVLD 0 rows SCOBKEGAT PBCATVLD 0 rows TRUE TRUE TRUE
SCOBKEGAT PIMRIM01 0 rows SCOBKEGAT PIMRIM01 0 rows TRUE TRUE TRUE
SCOBKEGAT PMINTTAXSTATEMENT 0 rows SCOBKEGAT PMINTTAXSTATEMENT 0 rows TRUE TRUE TRUE
SCOBKEGAT PMINVCLOSEMONTH 0 rows SCOBKEGAT PMINVCLOSEMONTH 0 rows TRUE TRUE TRUE
SCOBKEGAT PMSHORTLONG 0 rows SCOBKEGAT PMSHORTLONG 0 rows TRUE TRUE TRUE
SCOBKEGAT PMWARRANTY 0 rows SCOBKEGAT PMWARRANTY 0 rows TRUE TRUE TRUE
SCOBKEGAT PROJECTCONFIG 0 rows SCOBKEGAT PROJECTCONFIG 0 rows TRUE TRUE TRUE
SCOBKEGAT PROJECTEVA 0 rows SCOBKEGAT PROJECTEVA 0 rows TRUE TRUE TRUE
SCOBKEGAT PROJECT_POST_DISTANCE 0 rows SCOBKEGAT PROJECT_POST_DISTANCE 0 rows TRUE TRUE TRUE
SCOBKEGAT PTNMLBUYREQ 0 rows SCOBKEGAT PTNMLBUYREQ 0 rows TRUE TRUE TRUE
-- Confidential --
Page 36 of 39

