Page 57 - Binder2
P. 57
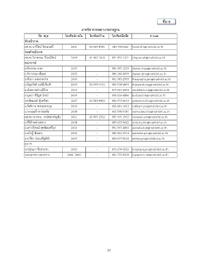
ชั้น 6
ภาควิชาการพยาบาลรากฐาน
ชื่อ- สกุล โ ท ร ศ ัพท์ภายใน โทรศัพท์บ้าน โทรศัพท์มือถือ E-mail
หัวหน้าภาค
ผศ.ดร.นารีรัตน์ จิตรมนตรี 2601 02-589-8781 081-7092562 headnsfn@mahidol.ac.th
รองหัวหน้าภาค
ผศ.ดร.วิราพรรณ วิโรจน์รัตน์ 2604 02-403-2603 081-423-1321 virapun.wir@mahidol.ac.th
คณาจารย์
อ.จิรวรรณ มาลา 2605 - 086-095-1250 jirawan.maa@mahidol.ac.th
อ.จิราวรรณ เผื่อแผ่ 2605 - 086-144-4095 jirawan.phu@mahidol.ac.th
อ.ทีปภา แจ่มกระจ่าง 2605 - 081-783-2953 theepapha.jam@mahidol.ac.th
อ.ธัญยรัชต์ องค์มีเกียรติ 2609 02-349-4111 081-918-6845 thanyarat.ong@mahidol.ac.th
อ.นันทกานต์ มณีจักร 2412 - 097-241-4494 nantakarn.maj@mahidol.ac.th
อ.บุษรา หิรัญสาโรจน์ 2609 - 094-416-6886 budsara.hir@mahidol.ac.th
รศ.พัสมณฑ์ คุ้มทวีพร 2607 02-583-8450 086-973-8619 patsamon.khu@mahidol.ac.th
อ.รัตติกาล พรหมพาหกุล 2609 - 083-641-1413 ruttikarn.pro@mahidol.ac.th
อ.วรรณฤดี เชาว์อยชัย 2608 - 065-598-9141 wanrudee.cho@mahidol.ac.th
ผศ.ดร.วรวรรณ วาณิชย์เจริญชัย 2411 02-809-2256 085-915-1952 vorawan.van@mahidol.ac.th
อ.ศิริลักษณ์ ผมขาว 2608 - 089-633-9622 siriluck.phm@mahidol.ac.th
อ.เสาวลักษณ์ สุขพัฒนศรีกุล 2606 - 081-537-4860 saovaluck.jir@mahidol.ac.th
อ.อภิรฎี พิมเสน 2606 - 086-366-3314 apiradee.pim@mahidol.ac.th
อ.อารียา ประเสริฐสังข์ 2609 - 083-677-5018 areeya.prs@mahidol.ac.th
ธุรการ
นางรุ่งนภา จีนประชา 2602 - 092-274-5552 rungnapa.pro@mahidol.ac.th
น.ส.สุภาพร เนตรสว่าง 2600, 2460 - 081-733-9604 supaporn.nat@mahidol.ac.th
27

