Basic HTML Version
Table of Contents
View Full Version
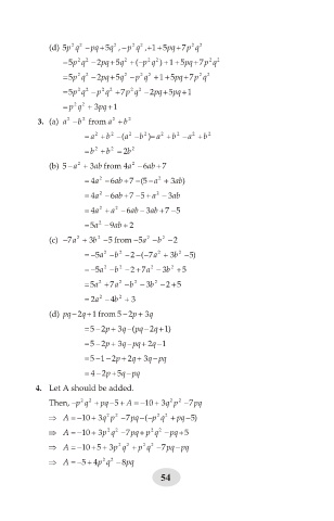
Page 549 - Phulwari Sky Rider Mathematics 1 to 8 answer key
P. 549
544
545
546
547
548
549
550
551
552
553
554