Basic HTML Version
Table of Contents
View Full Version
Page 554 - Phulwari Sky Rider Mathematics 1 to 8 answer key
P. 554
549
550
551
552
553
554
555
556
557
558
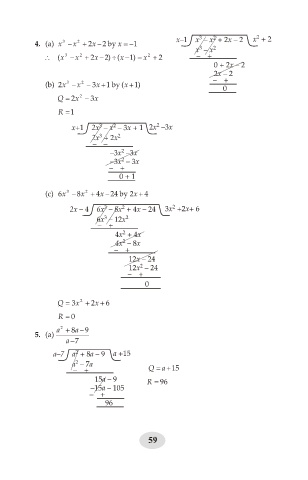
559