Page 2 - MODUL FLUIDA
P. 2
A. Standar Kompetensi :
Menerapkan konsep dan prinsip mekanika klasik sistem kontinu dalam menyelesaikan
masalah.
B. Kompetensi Dasar :
Menganalisis hokum-hukum yang berhubungan dengan luida static dan dinamik serta
penerapanya dalam kehidupan sehari – hari.
C. Indikator :
1. Memahami fluida .
2. Menjelaskan besaran-besaran fisika pada fluida statik .
3. Menjelaskan prinsip kerja hokum Pascal dan besaran-besaran isika yang terkait.
4. Menjelaskan hukum arcimedes
5. Memahami tentang tegangan permukaan dan viskositas
6. Menjelaskan besaran-besaran fisis pada luida dinamik
7. Menentukan debit air
8. Menerapkan hokum Bernoulli dalam penyelesaian kehidupan sehari-hari
KEGIATAN BELAJAR 1
.Alokasi Waktu:
D. Tujuan Pembelajaran :
Setelah mempelajari materi ini diharapkan siswa dapat :
1. Menghitung besar tekanan hidrostatik .
2. Menerapkan hukum pascal pada dongkrak hidrolik
3. Menghitung gaya tekan keatas pada penerapan hokum Archimedes
4. Menghitung tegangan permukaan suatu f luida.
5. Menghitung debit air yang mengalir pada suatu pipa
6. Menerapkan asas Bernoulli pada penerapan pipa PDAM serta memperhitungkan gaya
angkat sayap pesawat
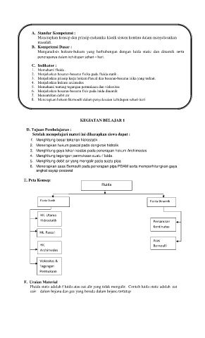
E. Peta Konsep:
Fluida
Fluida Statik
Fluida Dinamik
HK. Utama
Hidrostatik Persamaan
Kontinutas
Hk. Pascal
Asas
HK. Bernoulli
Archimedes
Viskositas &
Tegangan
Permukaan
F. Uraian Material
Fluida statis adalah f luida atau zat alir yang tidak mengalir. Contoh luida static adalah zat
cair dalam bejana dan gas yang berada dalam bejana tertutup

