Page 13 - BUKU KALIN (bismillah Fix)_Bab 2
P. 13

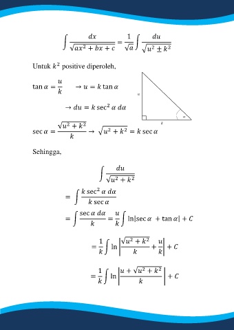
                 1              
                             ∫                       =      ∫
                                      2
                                                                    2
                                √     +      +          √       √   ±      2

                          2
               Untuk     positive diperoleh,


                             
               tan    =             →    =    tan   
                             


                                                2
                              →      =    sec        



                              2
                          √   +       2
                                                        2
                                                 2
               sec    =                 →  √   +    =    sec   
                                  
               Sehingga,



                                                        
                                             ∫
                                                    2
                                                √   +      2

                                            2
                                        sec        
                              = ∫
                                           sec   

                                    sec               
                              = ∫                =    ∫ ln|sec    + tan   | +   
                                                      



                                                          2
                                             1        √   +       2      
                                          =    ∫ ln |               + | +   
                                                                         



                                                                2
                                            1            + √   +       2
                                          =    ∫ ln |                    | +   
                                                                
   8   9   10   11   12   13   14   15   16   17   18