Page 9 - BUKU KALIN (bismillah Fix)_Bab 2
P. 9

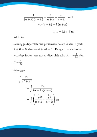
1                              
                                                =          +              ↔ 1
                          (   +   )(   −   )          +           −   

                                         =   (   −   ) +   (   +   )



                                                          ↔ 1 = (   +   )   −

                    +     



               Sehiingga diperoleh dua persamaan dalam A dan B yaitu


                  +    = 0  dan  −     +      = 1.  Dengan  cara  eliminasi

                                                                                  1
               terhadap kedua persamaan diperoleh nilai     = −                      dan
                                                                                 2  

                      1
                  =      .
                      2  


               Sehingga,


                                
                       ∫
                          2
                           +     2
                                                 
                              = ∫
                                    (   +   )(   −   )

                                          1         1
                                       −                
                              = ∫ (       2    +    2    )     
                                         +           −   
   4   5   6   7   8   9   10   11   12   13   14