Page 43 - BUKU KALIN (bismillah Fix)_Bab 2
P. 43

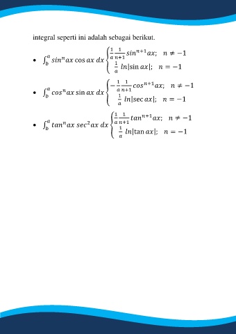
integral seperti ini adalah sebagai berikut.


                                                 1 1           +1
                                                      +1             ;       ≠ −1
                              
                 ∫             cos           {
                                                   1
                                                          |sin     |;       = −1
                                                     
                                                    1 1           +1
                                                 −                       ;       ≠ −1
                                                         +1
                              
                 ∫             sin           {
                                                     1       |sec     |;       = −1
                                                       
                                                   1 1           +1
                                       2                +1              ;       ≠ −1
                 ∫                              {
                                                     1       |tan     |;       = −1
                                                       
   38   39   40   41   42   43   44   45   46   47