Page 39 - BUKU KALIN (bismillah Fix)_Bab 2
P. 39
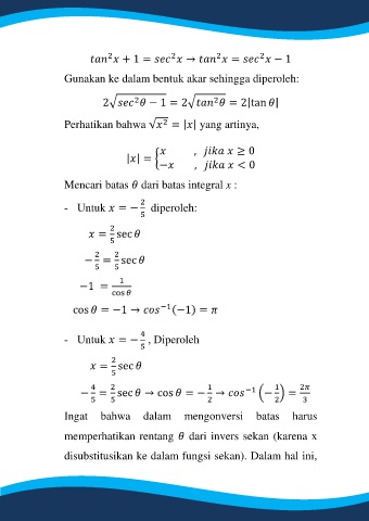
2
+ 1 = → = − 1
2
2
2
Gunakan ke dalam bentuk akar sehingga diperoleh:
2√ − 1 = 2√ = 2|tan |
2
2
2
Perhatikan bahwa √ = | | yang artinya,
, ≥ 0
| | = {
− , < 0
Mencari batas dari batas integral x :
2
- Untuk = − diperoleh:
5
2
= sec
5
2
2
− = sec
5 5
1
−1 =
cos
cos = −1 → −1 (−1) =
4
- Untuk = − , Diperoleh
5
2
= sec
5
4 2 1 −1 1 2
− = sec → cos = − → (− ) =
5 5 2 2 3
Ingat bahwa dalam mengonversi batas harus
memperhatikan rentang dari invers sekan (karena x
disubstitusikan ke dalam fungsi sekan). Dalam hal ini,

