Page 34 - BUKU KALIN (bismillah Fix)_Bab 2
P. 34

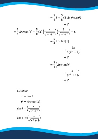
5       5
                                                      =    + (2 sin    cos   )
                                                         4       8

                                                                    +   

                   5                   5                           1
               =            tan[  ] + (2) (                ) (            ) +   
                   4                   8        √   + 1        √   + 1
                                                    2
                                                                  2
                                                         5
                                                      =        tan[  ]
                                                         4

                                                                            5  
                                                                    +
                                                                             2
                                                                        4(   + 1)
                                                                    +   


                                                         5
                                                      = (       tan[  ]
                                                         4
                                                                              
                                                                    +              )
                                                                           2
                                                                        (   + 1)

                                                                    +   



                   Catatan:


                            = tan θ


                            =        tan[  ]

                                     
                   sin    = (             )
                                   2
                               √   + 1
                                    1
                   cos    = (             )
                                   2
                               √   + 1
   29   30   31   32   33   34   35   36   37   38   39