Page 33 - BUKU KALIN (bismillah Fix)_Bab 2
P. 33

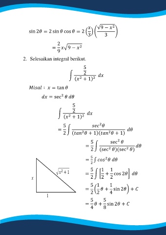
     √9 −      2
                   sin 2   = 2 sin    cos    = 2 ( ) (                  )
                                                        3         3

                                     2
                                                   2
                                 =       √9 −   
                                     9

               2.  Selesaikan integral berikut.

                                                     5
                                                     2
                                            ∫                     
                                               (   + 1)    2
                                                   2
                              ∶     = tan   

                                       2
                                = sec        

                                              5
                                              2
                                     ∫                     
                                            2
                                        (   + 1)    2

                                                               2
                                        5                          
                                     =     ∫                                        
                                                                    2
                                                    2
                                        2     (          + 1)(          + 1)
                                                                          2
                                                         5            sec   
                                                      = ∫                                
                                                                     2
                                                                                2
                                                         2     (sec   )(sec   )
                                                         5
                                                                  2
                                                      = ∫               
                                                         2
                                                         5      1     1
                                                      = ∫ [ + cos 2  ]      
                                                         2      2     2

                                                         5 1         1
                                                      = (    + sin 2  ) +   
                                                         2 2         4
                                                         5       5
                                                      =    + sin 2   +   
                                                         4       8
   28   29   30   31   32   33   34   35   36   37   38