Page 32 - BUKU KALIN (bismillah Fix)_Bab 2
P. 32

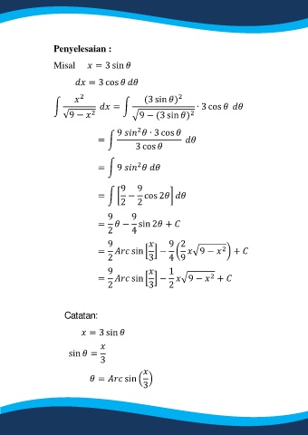
Penyelesaian :

                   Misal        = 3 sin   


                               = 3 cos        


                             2                   (3 sin   )  2
                   ∫                    = ∫                        ∙ 3 cos         
                      √9 −      2            √9 − (3 sin   )     2

                                               2
                                        9           ∙ 3 cos   
                                  = ∫                              
                                              3 cos   


                                               2
                                  = ∫ 9               

                                         9     9
                                  = ∫ [ − cos 2  ]     
                                         2     2

                                     9       9
                                  =       − sin 2   +   
                                     2       4

                                     9                    9 2
                                                                           2
                                  =           sin [ ] − (   √9 −    ) +   
                                     2             3      4 9
                                     9                    1
                                                                        2
                                  =           sin [ ] −   √9 −    +   
                                     2             3      2



                       Catatan:

                                  = 3 sin   


                                     
                         sin    =
                                   3

                                                   
                                    =        sin ( )
                                                 3
   27   28   29   30   31   32   33   34   35   36   37