Page 27 - BUKU KALIN (bismillah Fix)_Bab 2
P. 27

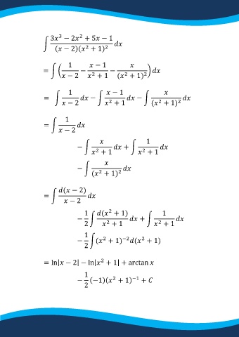
3
                                   2
                       3   − 2   + 5   − 1
                    ∫                                 
                                      2
                         (   − 2)(   + 1)     2

                              1            − 1             
                    = ∫ (           −           −                )     
                                         2
                                                       2
                               − 2        + 1       (   + 1)   2

                               1                  − 1                     
                    =  ∫                 − ∫                 − ∫                    
                                                                     2
                                                2
                               − 2               + 1              (   + 1)    2
                             1
                    = ∫               
                             − 2

                                                                1
                                  − ∫                  + ∫                
                                          2
                                                              2
                                            + 1                 + 1
                                                
                                  − ∫                     
                                            2
                                         (   + 1)   2

                            (   − 2)
                    = ∫                    
                                − 2

                                                2
                                     1       (   + 1)                  1
                                  − ∫                         + ∫                
                                                                     2
                                               2
                                     2          + 1                   + 1
                                     1
                                              2
                                                              2
                                                      −2
                                  − ∫(   + 1)   (   + 1)
                                     2
                                             2
                    = ln|   − 2| − ln|   + 1| + arctan   
                                     1
                                                  2
                                  − (−1)(   + 1)          −1  +   
                                     2
   22   23   24   25   26   27   28   29   30   31   32