Page 26 - BUKU KALIN (bismillah Fix)_Bab 2
P. 26
3
2
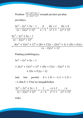
Pisahkan 3 −2 +5 −1 menjadi pecahan-pecahan
2
( −2)( +1) 2
parsialnya.
3
2
3 − 2 + 5 − 1 + +
= + +
2
2
2
( − 2)( + 1) 2 − 2 + 1 ( + 1) 2
2
3
3 − 2 + 5 − 1
2
( − 2)( + 1) 2
2
2
2
2
( + 1)( + 1) + ( + )( − 2)( + 1) + ( + )( − 2)
=
2
( − 2)( + 1) 2
Pandang pembilangnya,
3
2
3 − 2 + 5 − 1
2
2
2
2
= ( + 1)( + 1) + ( + )( − 2)( + 1)
+ ( + )( − 2)
Jadi, kita peroleh = 1, = −1, = 1, =
−1, dan = 0 hal ini mengakibatkan
2
3
3 − 2 + 5 − 1 1 − + 1 −
= + +
2
2
2
( − 2)( + 1) 2 − 2 + 1 ( + 1) 2
maka

