Page 25 - BUKU KALIN (bismillah Fix)_Bab 2
P. 25
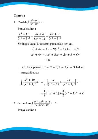
Contoh :
3
+4
1. Carilah ∫
2
( +1) 2
Penyelesaian :
3
+ 4 + +
= +
2
2
2
( + 1) 2 ( + 1) ( + 1) 2
Sehingga dapat kita susun persamaan berikut:
+ 4 = + ( + 1) + +
2
3
2
3
3
+ 4 = + + + +
+
Jadi, kita peroleh = = 0, = 1, = 3 hal ini
mengakibatkan
3
+ 4 3
∫ = ∫ [ + ]
2
2
2
( + 1) 2 ( + 1) ( + 1) 2
1 3
2
2
= ln| + 1| + ( + 1) −1 +
2 2
3
2
3 −2 +5 −1
2. Selesaikan ∫ !
2
( −2)( +1) 2
Penyelesaian :

