Page 20 - BUKU KALIN (bismillah Fix)_Bab 2
P. 20
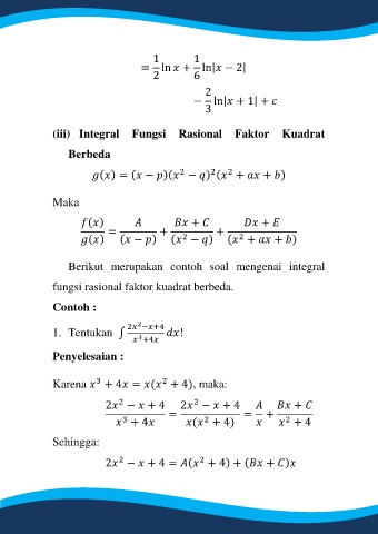
1 1
= ln + ln| − 2|
2 6
2
− ln| + 1| +
3
(iii) Integral Fungsi Rasional Faktor Kuadrat
Berbeda
( ) = ( − )( − ) ( + + )
2
2
2
Maka
( ) + +
= + +
2
2
( ) ( − ) ( − ) ( + + )
Berikut merupakan contoh soal mengenai integral
fungsi rasional faktor kuadrat berbeda.
Contoh :
2
2 − +4
1. Tentukan ∫ !
3
+4
Penyelesaian :
3
2
Karena + 4 = ( + 4), maka:
2
2
2 − + 4 2 − + 4 +
= = +
2
2
3
+ 4 ( + 4) + 4
Sehingga:
2
2 − + 4 = ( + 4) + ( + )
2

