Page 19 - BUKU KALIN (bismillah Fix)_Bab 2
P. 19
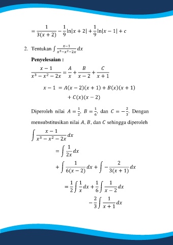
1 1 1
= − ln| + 2| + ln| − 1| +
3( + 2) 9 9
−1
2. Tentukan ∫
2
3
− −2
Penyelesaian :
− 1
= + +
2
3
− − 2 − 2 + 1
− 1 = ( − 2)( + 1) + ( )( + 1)
+ ( )( − 2)
1 1 2
Diperoleh nilai = , = , dan = − . Dengan
2 6 3
mensubstitusikan nilai , , dan sehingga diperoleh
− 1
∫
2
3
− − 2
1
= ∫
2
1 2
+ ∫ + ∫ −
6( − 2) 3( + 1)
1 1 1 1
= ∫ + ∫
2 6 − 2
2 1
− ∫
3 + 1

