Page 22 - BUKU KALIN (bismillah Fix)_Bab 2
P. 22
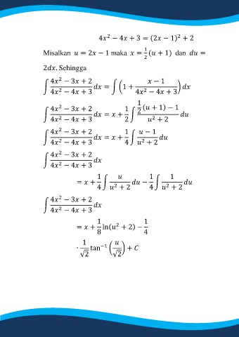
4 − 4 + 3 = (2 − 1) + 2
2
2
1
Misalkan = 2 − 1 maka = ( + 1) dan =
2
2 . Sehingga
2
4 − 3 + 2 − 1
∫ = ∫ (1 + )
2
2
4 − 4 + 3 4 − 4 + 3
1
2
4 − 3 + 2 1 2 ( + 1) − 1
∫ = + ∫
2
2
4 − 4 + 3 2 + 2
2
4 − 3 + 2 1 − 1
∫ = + ∫
2
2
4 − 4 + 3 4 + 2
2
4 − 3 + 2
∫
2
4 − 4 + 3
1 1 1
= + ∫ − ∫
2
2
4 + 2 4 + 2
2
4 − 3 + 2
∫
2
4 − 4 + 3
1 1
2
= + ln( + 2) −
8 4
1
∙ tan −1 ( ) +
√2 √2

