Page 23 - BUKU KALIN (bismillah Fix)_Bab 2
P. 23
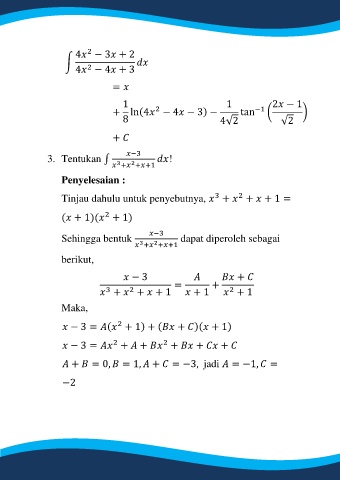
2
4 − 3 + 2
∫
2
4 − 4 + 3
=
1 1 2 − 1
2
+ ln(4 − 4 − 3) − tan −1 ( )
8 4√2 √2
+
−3
3. Tentukan ∫ !
2
3
+ + +1
Penyelesaian :
2
3
Tinjau dahulu untuk penyebutnya, + + + 1 =
2
( + 1)( + 1)
−3
Sehingga bentuk dapat diperoleh sebagai
3
2
+ + +1
berikut,
− 3 +
= +
2
2
3
+ + + 1 + 1 + 1
Maka,
2
− 3 = ( + 1) + ( + )( + 1)
2
2
− 3 = + + + + +
+ = 0, = 1, + = −3, jadi = −1, =
−2

