Page 1568 - Draft
P. 1568
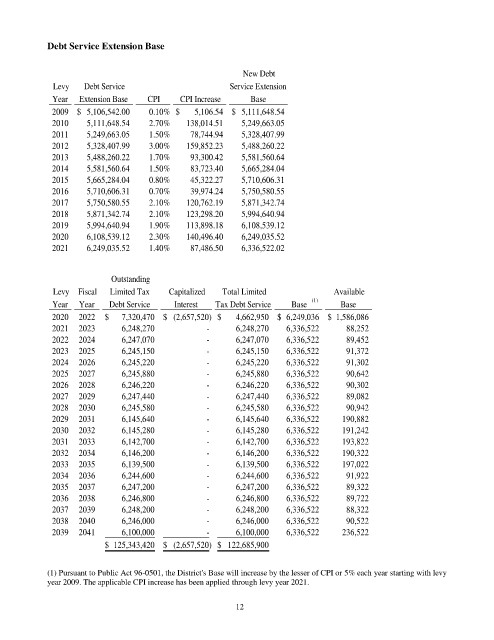
Debt Service Extension Base
New Debt
Levy Debt Service Service Extension
Year Extension Base CPI CPI Increase Base
2009 $ 5,106,542.00 0.10% $ 5,106.54 $ 5,111,648.54
2010 5,111,648.54 2.70% 138,014.51 5,249,663.05
2011 5,249,663.05 1.50% 78,744.94 5,328,407.99
2012 5,328,407.99 3.00% 159,852.23 5,488,260.22
2013 5,488,260.22 1.70% 93,300.42 5,581,560.64
2014 5,581,560.64 1.50% 83,723.40 5,665,284.04
2015 5,665,284.04 0.80% 45,322.27 5,710,606.31
2016 5,710,606.31 0.70% 39,974.24 5,750,580.55
2017 5,750,580.55 2.10% 120,762.19 5,871,342.74
2018 5,871,342.74 2.10% 123,298.20 5,994,640.94
2019 5,994,640.94 1.90% 113,898.18 6,108,539.12
2020 6,108,539.12 2.30% 140,496.40 6,249,035.52
2021 6,249,035.52 1.40% 87,486.50 6,336,522.02
Outstanding
Levy Fiscal Limited Tax Capitalized Total Limited Available
Year Year Debt Service Interest Tax Debt Service Base (1) Base
2020 2022 $ 7,320,470 $ (2,657,520) $ 4,662,950 $ 6,249,036 $ 1,586,086
2021 2023 6,248,270 - 6,248,270 6,336,522 88,252
2022 2024 6,247,070 - 6,247,070 6,336,522 89,452
2023 2025 6,245,150 - 6,245,150 6,336,522 91,372
2024 2026 6,245,220 - 6,245,220 6,336,522 91,302
2025 2027 6,245,880 - 6,245,880 6,336,522 90,642
2026 2028 6,246,220 - 6,246,220 6,336,522 90,302
2027 2029 6,247,440 - 6,247,440 6,336,522 89,082
2028 2030 6,245,580 - 6,245,580 6,336,522 90,942
2029 2031 6,145,640 - 6,145,640 6,336,522 190,882
2030 2032 6,145,280 - 6,145,280 6,336,522 191,242
2031 2033 6,142,700 - 6,142,700 6,336,522 193,822
2032 2034 6,146,200 - 6,146,200 6,336,522 190,322
2033 2035 6,139,500 - 6,139,500 6,336,522 197,022
2034 2036 6,244,600 - 6,244,600 6,336,522 91,922
2035 2037 6,247,200 - 6,247,200 6,336,522 89,322
2036 2038 6,246,800 - 6,246,800 6,336,522 89,722
2037 2039 6,248,200 - 6,248,200 6,336,522 88,322
2038 2040 6,246,000 - 6,246,000 6,336,522 90,522
2039 2041 6,100,000 - 6,100,000 6,336,522 236,522
$ 125,343,420 $ (2,657,520) $ 122,685,900
(1) Pursuant to Public Act 96-0501, the District's Base will increase by the lesser of CPI or 5% each year starting with levy
year 2009. The applicable CPI increase has been applied through levy year 2021.
12

