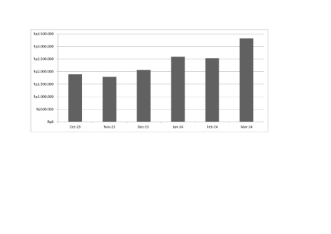
Page 2 - Proyeksi Keuangan Laklak Janda
P. 2

Rp3.500.000

                   Rp3.000.000


                   Rp2.500.000

                   Rp2.000.000

                  Rp1.500.000

                   Rp1.000.000


                    Rp500.000


                         Rp0
                                     Oct-23           Nov-23           Des-23            Jan-24           Feb-24           Mar-24
   1   2   3   4   5   6